NBTC
ONE STOP SERVICE
สำนักงาน กสทช.
Home
E-Learning
E-Practice
เปลี่ยนภาษา:
Login
เข้าสู่ระบบ
เข้าสู่ระบบ สำหรับคนไทย
Login for Foreigner
สำหรับเจ้าหน้าที่ กสทช.
Light
Dark
เข้าสู่ระบบ สำหรับเจ้าหน้าที่
Username
* กรุณาระบุ Username
Password
* กรุณาระบุ Password
Login
OTP
เลขที่บัตรประชาชน
* กรุณาระบุเลขที่บัตร
*โปรดกรอกเลขที่บัตรเป็นตัวเลข 13 หลัก
*เลขที่บัตรไม่ถูกต้อง
ขอรหัสผ่าน
แบบฝึกหัดพนักงานวิทยุสมัครเล่น ขั้นต้น
แบบฝึกหัดพนักงานวิทยุสมัครเล่น
ขั้นต้น
ขั้นกลาง
ขั้นสูง
แบบฝึกหัดพนักงานวิทยุคมนาคมประเภททั่วไปประจำเรือ (GOC)
หมวดที่ 1. General Information and System Overview และ Principles of Communications
หมวดที่ 2. F.C.C. Rules & Regulations และ DSC & Alpha-Numeric ID
หมวดที่ 3. Distress, Urgency & Safety Communications และ Section-F: Survival Craft Equip & S.A.R
หมวดที่ 4. VHF-DSC Equipment & Communications และ Maritime Safety Information (M.S.I.)
หมวดที่ 5. Inmarsat Equip. & Communications และ MF-HF Equip. and Communications
แบบฝึกหัดพนักงานวิทยุคมนาคมประเภทจำกัดเขตเดินเรือทะเล (ROC)
หมวดที่ 1. General Information and System Overview และ F.C.C. Rules & Regulations
หมวดที่ 2. DSC & Alpha-Numeric ID Systems และ Distress, Urgency & Safety Communication
หมวดที่ 3. Survival Craft Equip & S.A.R, Maritime Safety Information (M.S.I.) และ VHF-DSC Equipment & Communication
เฉลย
ทดสอบอีกครั้ง
คำถามที่ 1/100
90:00
นาที
1
การพิจารณาอนุญาตและกำกับดูแลการใช้คลื่นความถี่และเครื่องวิทยุคมนาคมเป็นอำนาจหน้าที่ของ
ก.
กทช.
ข.
กระทรวงเทคโนโลยีสารสนเทศและการสื่อสาร
ค.
กสทช.
ง.
กระทรวงดิจิทัลเพื่อเศรษฐกิจและสังคม
คำถามต่อไป
คำถามที่ 2/100
90:00
นาที
2
ข้อใดไม่ใช่หน้าที่ของสมาคมวิทยุสมัครเล่นที่คณะกรรมการกิจการกระจายเสียง กิจการโทรทัศน์ และกิจการโทรคมนาคมแห่งชาติ (กสทช.) รับรองให้ทำหน้าที่บริหารสถานีควบคุมข่ายประจำจังหวัด เพื่อให้กิจการวิทยุสมัครเล่นเข้มแข็ง
ก.
เป็นตัวแทนของพนักงานวิทยุสมัครเล่นในการเสนอความคิดเห็น หรือประสานงานระหว่างพนักงานวิทยุสมัครเล่นกับ กสทช. และหน่วยงานของรัฐ
ข.
ส่งเสริมพัฒนากิจการวิทยุสมัครเล่นในจังหวัดผ่านกิจกรรมต่าง ๆ
ค.
เพิกถอนสัญญาณเรียกขานของพนักงานวิทยุสมัครเล่นที่กระทำความผิด
ง.
สนับสนุนให้แต่ละจังหวัดมีสถานีวิทยุสมัครเล่นเพื่อใช้ร่วมกันอย่างเพียงพอ อาทิ สถานีวิทยุสมัครเล่นประเภททวนสัญญาณ สถานีวิทยุสมัครเล่นขององค์กรวิทยุสมัครเล่น (Club Station)
คำถามก่อนหน้า
คำถามต่อไป
คำถามที่ 3/100
90:00
นาที
3
ข้อบังคับวิทยุระหว่างประเทศมีข้อห้ามในการส่งข่าวถึงบุคคลที่ 3 คือ การรับข่าวจากผู้ที่ไม่ได้เป็นพนักงานวิทยุสมัครเล่น และส่งข่าวนั้นผ่านความถี่วิทยุสมัครเล่นไปยังผู้ที่ไม่ได้เป็นพนักงานวิทยุสมัครเล่น แต่อนุญาตให้ทำได้ในกรณีใด
ก.
การส่งข่าวนั้นได้รับค่าตอบแทนที่คุ้มค่า
ข.
บุคคลที่สามนั้นเป็นคนในครอบครัว
ค.
เฉพาะในกรณีฉุกเฉินหรือภัยพิบัติ
ง.
ไม่อนุญาตโดยเด็ดขาด
คำถามก่อนหน้า
คำถามต่อไป
คำถามที่ 4/100
90:00
นาที
4
มาตรา 60 ของรัฐธรรมนูญแห่งราชอาณาจักรไทย พุทธศักราช 2560 บัญญัติให้มีองค์กรของรัฐที่เป็นอิสระองค์กรหนึ่งทำหน้าที่รับผิดชอบและกำกับการดำเนินการเกี่ยวกับคลื่นความถี่ โดยคำนึงถึงประโยชน์ 4 ด้าน หนึ่งในนั้นคือ
ก.
ให้ประชาชนมีอิสรภาพในการใช้คลื่นความถี่
ข.
ความคุ้มค่าทางเศรษฐกิจ
ค.
การตั้งวิทยุชุมชนอย่างทั่วถึง
ง.
ความมั่นคงของรัฐ
คำถามก่อนหน้า
คำถามต่อไป
คำถามที่ 5/100
90:00
นาที
5
ในกฎระเบียบหรือข้อบังคับที่เกี่ยวข้องกับกิจการวิทยุสมัครเล่น จะเรียกนักวิทยุสมัครเล่นว่า "พนักงานวิทยุสมัครเล่น" เพราะเหตุใด
ก.
เพื่อให้ฟังดูเป็นทางการ
ข.
เป็นเจ้าพนักงานซึ่งรัฐมนตรีแต่งตั้งตามพระราชบัญญัติวิทยุคมนาคม พ.ศ. 2498
ค.
เป็นประชาชนที่ได้รับมอบหมายให้ปฏิบัติหน้าที่ให้เป็นผู้ช่วยเจ้าพนักงานสื่อสารตามพระราชบัญญัติวิทยุคมนาคม พ.ศ. 2498
ง.
เนื่องจากเป็นผู้ที่ใช้เครื่องวิทยุคมนาคมและคลื่นความถี่ในกิจการวิทยุสมัครเล่นภายใต้การกำกับดูแลของ กสทช. ตามกฎหมายซึ่งได้กำหนดให้ต้องได้รับใบอนุญาตพนักงานวิทยุสมัครเล่นด้วย
คำถามก่อนหน้า
คำถามต่อไป
คำถามที่ 6/100
90:00
นาที
6
คณะกรรมการกิจการกระจายเสียง กิจการโทรทัศน์ และกิจการโทรคมนาคมแห่งชาติ คือ “เจ้าพนักงาน ผู้ออกใบอนุญาต” ซึ่งในปัจจุบันได้มอบอำนาจให้ผู้ใดบ้าง
ก.
ประธานกรรมการกิจการกระจายเสียง กิจการโทรทัศน์ และกิจการโทรคมนาคมแห่งชาติ
ข.
เลขาธิการคณะกรรมการกิจการกระจายเสียง กิจการโทรทัศน์ และกิจการโทรคมนาคมแห่งชาติ
ค.
พนักงานของสำนักงาน กสทช. ที่ได้รับการแต่งตั้งจากคณะกรรมการกิจการกระจายเสียง กิจการโทรทัศน์ และกิจการโทรคมนาคมแห่งชาติ
ง.
ถูกทั้งข้อ ข. และข้อ ค.
คำถามก่อนหน้า
คำถามต่อไป
คำถามที่ 7/100
90:00
นาที
7
เครื่องวิทยุคมนาคมที่พนักงานวิทยุสมัครเล่นสามารถขออนุญาตนำเข้าได้นั้น จะต้องมีคุณสมบัติสำคัญอย่างไร
ก.
ความถี่ต่ำ
ข.
กำลังส่งต่ำ
ค.
เป็นเครื่องที่ผ่านการตรวจสอบรับรองมาตรฐานจาก กสทช.
ง.
เป็นเครื่องที่ผ่านการตรวจสอบรับรองมาตรฐานจาก กฟภ.
คำถามก่อนหน้า
คำถามต่อไป
คำถามที่ 8/100
90:00
นาที
8
ใบอนุญาตพนักงานวิทยุสมัครเล่นของนางไข่หวานหมดอายุเกิน 2 ปี และ กสทช. พิจารณายกเลิกสัญญาณเรียกขานแล้ว นางไข่หวานจะทำอย่างไรกับเครื่องวิทยุคมนาคมที่ครอบครองอยู่ได้บ้าง
ก.
เก็บไว้ โดยขอรับใบอนุญาตให้มีเครื่องวิทยุคมนาคม
ข.
โอนเครื่องให้กับพนักงานวิทยุสมัครเล่นคนอื่น
ค.
ทำลายแล้วแจ้งยกเลิกใบอนุญาตวิทยุคมนาคมที่เกี่ยวข้อง
ง.
ถูกทุกข้อ
คำถามก่อนหน้า
คำถามต่อไป
คำถามที่ 9/100
90:00
นาที
9
นางสาวไข่ต้มเปิดโรงงานผลิตสายอากาศและเครื่องขยายกำลังส่ง ดังนั้น นางสาวไข่ต้มต้องยื่นคำขอรับใบอนุญาตให้ทำเครื่องวิทยุคมนาคมหรือไม่
ก.
ไม่ต้อง เพราะไม่ได้เป็นเครื่องวิทยุคมนาคมตามพระราชบัญญัติวิทยุคมนาคม พ.ศ. 2498
ข.
ไม่ต้อง เพราะอุปกรณ์เหล่านี้ไม่ได้ประกอบเข้าหรือใช้กับเครื่องวิทยุคมนาคม
ค.
ต้อง เพราะเป็นอุปกรณ์ที่ถือว่าเป็นเครื่องวิทยุคมนาคมตามพระราชบัญญัติวิทยุคมนาคม พ.ศ. 2498
ง.
ไม่มีข้อใดถูก
คำถามก่อนหน้า
คำถามต่อไป
คำถามที่ 10/100
90:00
นาที
10
นายไข่ไก่ เป็นพนักงานขององค์กรปกครองส่วนท้องถิ่นและเป็นพนักงานวิทยุสมัครเล่นขั้นต้น ต้องการใช้เครื่องวิทยุคมนาคมเพียงเครื่องเดียวที่บรรจุคลื่นความถี่ขององค์กรปกครองส่วนท้องถิ่นและคลื่นความถี่กิจการวิทยุสมัครเล่น ได้หรือไม่
ก.
ได้ โดยโปรแกรมคลื่นความถี่กิจการวิทยุสมัครเล่นเพิ่มในเครื่องวิทยุคมนาคมแบบสังเคราะห์ความถี่ของหน่วยงาน
ข.
ได้ โดยนำเครื่องรับ-ส่งวิทยุย่านสมัครเล่นมาเปิดแบนด์เพื่อใช้งานคลื่นความถี่ของหน่วยงาน
ค.
ได้ โดยจัดหาเครื่องวิทยุคมนาคมแบบสังเคราะห์ความถี่ ประเภทที่ 1 มาใช้งานซึ่งเป็นเครื่องวิทยุคมนาคมที่ผู้ใช้สามารถตั้งคลื่นความถี่ได้เองจากหน้าเครื่อง
ง.
ไม่ได้ เพราะมาตรฐานของเครื่องวิทยุคมนาคมเป็นคนละกิจการ ดังนั้น จะต้องใช้เครื่องรับ-ส่งวิทยุย่านสมัครเล่น 1 เครื่อง และเครื่องวิทยุคมนาคมแบบสังเคราะห์ความถี่ ประเภทที่ 2 อีก 1 เครื่อง
คำถามก่อนหน้า
คำถามต่อไป
คำถามที่ 11/100
90:00
นาที
11
การเป็นพนักงานวิทยุสมัครเล่นสามารถสร้างประโยชน์ต่อสังคมและความปลอดภัยของประเทศชาติ ได้อย่างไร
ก.
พนักงานวิทยุสมัครเล่นมีจำนวนมากและกระจายอยู่ทุกพื้นที่ สามารถตรวจสอบข่าวสารได้ง่าย
ข.
พนักงานวิทยุสมัครเล่นมีโอกาสรู้จักเพื่อนและรับรู้ข่าวสารโดยไม่ต้องเดินทางไปไหน
ค.
พนักงานวิทยุสมัครเล่นมีระบบสื่อสารที่สามารถใช้งานในกรณีที่เกิดเหตุฉุกเฉินหรือภัยพิบัติ
ง.
ถูกทุกข้อ
คำถามก่อนหน้า
คำถามต่อไป
คำถามที่ 12/100
90:00
นาที
12
ประกาศนียบัตรในข้อใดที่ กสทช. อนุญาตให้เทียบเท่าประกาศนียบัตรพนักงานวิทยุสมัครเล่นสำหรับใช้ยื่นคำขอรับใบอนุญาตพนักงานวิทยุสมัครเล่น
ก.
ประกาศนียบัตรวิชาชีพ สาขาอิเล็กทรอนิกส์
ข.
ประกาศนียบัตรวิชาชีพชั้นสูง สาขาอิเล็กทรอนิกส์
ค.
ประกาศนียบัตรพนักงานวิทยุสมัครเล่นของประเทศที่ทำข้อตกลงต่างตอบแทนกับประเทศไทย
ง.
ประกาศนียบัตรหลักสูตรการใช้เครื่องวิทยุคมนาคมแบบสังเคราะห์ความถี่ของหน่วยงานของรัฐ
คำถามก่อนหน้า
คำถามต่อไป
คำถามที่ 13/100
90:00
นาที
13
ผู้ที่ยังไม่ได้รับใบอนุญาตพนักงานวิทยุสมัครเล่น สามารถใช้คลื่นความถี่ในกิจการวิทยุสมัครเล่นได้ในกรณีใด
ก.
ทดลองออกอากาศเพื่อฝึกฝนตนเองโดยใช้สถานีวิทยุสมัครเล่นควบคุมข่าย และต้องอยู่ภายใต้การกำกับดูแลจากผู้ที่ได้รับใบอนุญาตพนักงานวิทยุสมัครเล่น
ข.
ทดลองออกอากาศเพื่อฝึกฝนตนเองโดยใช้สถานีวิทยุสมัครเล่นขององค์กรวิทยุสมัครเล่น (Club station) และต้องอยู่ภายใต้การกำกับดูแลจากผู้ที่ได้รับใบอนุญาตพนักงานวิทยุสมัครเล่น
ค.
ทดลองออกอากาศเพื่อฝึกฝนตนเองโดยใช้สถานีวิทยุสมัครเล่นสำหรับกิจกรรมพิเศษ (Special event station) และต้องอยู่ภายใต้การกำกับดูแลจากผู้ที่ได้รับใบอนุญาตพนักงานวิทยุสมัครเล่น
ง.
ถูกทุกข้อ
คำถามก่อนหน้า
คำถามต่อไป
คำถามที่ 14/100
90:00
นาที
14
กสทช. อาจไม่พิจารณาอนุญาตให้ตั้งสถานีวิทยุสมัครเล่น ซึ่งตั้งอยู่ใกล้กับสำนักงาน กสทช. ส่วนภูมิภาค ในรัศมีไม่เกินกี่กิโลเมตร
ก.
0.5 กิโลเมตร
ข.
1 กิโลเมตร
ค.
2 กิโลเมตร
ง.
2.5 กิโลเมตร
คำถามก่อนหน้า
คำถามต่อไป
คำถามที่ 15/100
90:00
นาที
15
สถานีวิทยุสมัครเล่นประเภทใดที่สามารถให้ผู้ที่ยังไม่ได้รับใบอนุญาตพนักงานวิทยุสมัครเล่นทดลองออกอากาศได้และอยู่ภายใต้การกำกับดูแลของพนักงานวิทยุสมัครเล่น
ก.
สถานีวิทยุสมัครเล่นควบคุมข่าย
ข.
สถานีวิทยุสมัครเล่นขององค์กรวิทยุสมัครเล่น (Club station)
ค.
สถานีวิทยุสมัครเล่นสำหรับกิจกรรมพิเศษ (Special event station)
ง.
ถูกทุกข้อ
คำถามก่อนหน้า
คำถามต่อไป
คำถามที่ 16/100
90:00
นาที
16
การเปิดโอกาสให้ผู้ที่ไม่ได้เป็นพนักงานวิทยุสมัครเล่นทดลองออกอากาศ ณ สถานีวิทยุสมัครเล่นสำหรับกิจกรรมพิเศษ (Special event station) มีข้อปฏิบัติสำคัญอย่างไร
ก.
ผู้ทดลองออกอากาศจะต้องอยู่ในการควบคุมดูแลของชมรมหรือสมาคมวิทยุสมัครเล่นที่ได้รับอนุญาตตั้งสถานีวิทยุสมัครเล่นสำหรับกิจกรรมพิเศษตลอดเวลาที่มีการออกอากาศเท่านั้น
ข.
ผู้ทดลองออกอากาศที่ยังไม่บรรลุนิติภาวะจะต้องมีผู้ปกครองควบคุมดูแลตลอดเวลาที่มีการออกอากาศเท่านั้น
ค.
ผู้ทดลองออกอากาศจะต้องอยู่ในการควบคุมดูแลของเจ้าหน้าที่ กสทช. ตลอดเวลาที่มีการออกอากาศเท่านั้น
ง.
เป็นผู้ที่ได้รับประกาศนียบัตรพนักงานวิทยุสมัครเล่นอยู่แล้วไม่ต้องมีผู้ควบคุมดูแลก็ได้
คำถามก่อนหน้า
คำถามต่อไป
คำถามที่ 17/100
90:00
นาที
17
การกำหนดให้สถานีวิทยุสมัครเล่นควบคุมข่าย สถานีวิทยุสมัครเล่นขององค์กรวิทยุสมัครเล่น สถานีวิทยุสมัครเล่นสำหรับกิจกรรมพิเศษ, และสถานีวิทยุสมัครเล่นประจำที่ ต้องบันทึกรายละเอียดลงในสมุดบันทึกการติดต่อสื่อสาร (Log Book) มีวัตถุประสงค์เพื่อ
ก.
เพื่อเป็นหลักฐานประกอบการเรียนรู้ถึงความเปลี่ยนแปลงของสัญญาณในช่วงต่าง ๆ ของปี
ข.
หากมีปัญหาเกิดขึ้นจากคลื่นความถี่ของสถานีเหล่านี้ จะมีหลักฐานตรวจสอบได้ มิฉะนั้นเจ้าของสถานีวิทยุคมนาคมจะต้องเป็นผู้รับผิดชอบ
ค.
เพื่อเก็บเป็นข้อมูลแสดงประสิทธิภาพของการสื่อสารและสถานีที่สามารถติดต่อได้
ง.
ถูกทุกข้อ
คำถามก่อนหน้า
คำถามต่อไป
คำถามที่ 18/100
90:00
นาที
18
สถานีวิทยุสมัครเล่นชนิดประจำที่ต้องมีสมุดบันทึกการติดต่อสื่อสาร (Logbook) ไว้ประจำสถานีวิทยุสมัครเล่น เพื่อบันทึกรายละเอียดอะไรบ้าง
ก.
วัน เดือน ปี และเวลาตั้งแต่เริ่มต้นและสิ้นสุดการติดต่อสื่อสารแต่ละครั้ง
ข.
สัญญาณเรียกขานของคู่สถานีที่ติดต่อ
ค.
ชื่อ-สกุล ของพนักงานวิทยุสมัครเล่นที่ปฏิบัติหน้าที่
ง.
ถูกทุกข้อ
คำถามก่อนหน้า
คำถามต่อไป
คำถามที่ 19/100
90:00
นาที
19
คลื่นความถี่ที่ใช้สำหรับส่งจากพื้นโลกไปยังดาวเทียม เรียกว่าความถี่อะไร
ก.
Downlink
ข.
Uplink
ค.
Active link
ง.
Control link
คำถามก่อนหน้า
คำถามต่อไป
คำถามที่ 20/100
90:00
นาที
20
เราสามารถให้ผู้ที่มิใช่พนักงานวิทยุสมัครเล่นทดลองออกอากาศจากสถานีวิทยุสมัครเล่นส่วนตัว ของเราได้หรือไม่ หากมีการทดลองดังกล่าว ถือว่าเป็นข้อห้ามในกรณีใด
ก.
ให้ทดลองได้ โดยเราจะต้องเฝ้าดูแลตลอดการออกอากาศและต้องบันทึกลง Log Book
ข.
ให้ทดลองได้ เพราะเป็นการประชาสัมพันธ์กิจการวิทยุสมัครเล่น
ค.
ไม่ได้ โดยผู้ออกอากาศเท่านั้นที่มีความผิดเพราะไม่มีใบอนุญาต
ง.
ไม่ได้ เพราะเป็นกรณียินยอมให้ผู้อื่นใช้สถานีวิทยุคมนาคม ซึ่งมิใช่สถานีวิทยุสมัครเล่นที่มีลักษณะการใช้งานร่วมกัน
คำถามก่อนหน้า
คำถามต่อไป
คำถามที่ 21/100
90:00
นาที
21
การตั้งใจส่งสัญญาณเพื่อไปขัดขวางไม่ให้ผู้อื่นสามารถใช้คลื่นความถี่ได้ ถือว่าเป็นการจงใจกระทำให้เกิดการรบกวนหรือขัดขวางต่อการสื่อสารของสถานีวิทยุสมัครเล่นอื่น นอกจากมีความผิดตาม พระราชบัญญัติวิทยุคมนาคม พ.ศ. 2498 แล้ว จะถูกดำเนินการอย่างไรตามหลักเกณฑ์การพิจารณาโทษพนักงานวิทยุสมัครเล่น
ก.
ตักเตือนด้วยลายลักษณ์อักษร
ข.
ให้พ้นจากการเป็นพนักงานวิทยุสมัครเล่นเป็นการชั่วคราวเป็นเวลาไม่เกิน 3 เดือน
ค.
ให้พ้นจากการเป็นพนักงานวิทยุสมัครเล่นเป็นการชั่วคราวเป็นเวลาไม่เกิน 6 เดือน
ง.
ให้พ้นจากการเป็นพนักงานวิทยุสมัครเล่นเป็นการชั่วคราวเป็นเวลาไม่เกิน 1 ปี
คำถามก่อนหน้า
คำถามต่อไป
คำถามที่ 22/100
90:00
นาที
22
ข้อใดไม่ใช่คลื่นความถี่กลางสำหรับติดต่อประสานงานระหว่างประชาชนและหน่วยงานของรัฐ
ก.
78.500 MHz
ข.
245.500 MHz
ค.
145.000 MHz
ง.
147.425 MHz
คำถามก่อนหน้า
คำถามต่อไป
คำถามที่ 23/100
90:00
นาที
23
พนักงานวิทยุสมัครเล่นสามารถช่วยส่งข่าวจากผู้ประสบภัยไปยังญาติมิตรผ่านคลื่นความถี่วิทยุสมัครเล่นได้ในกรณีใด
ก.
ได้ทุกกรณีเพราะการมีผู้ประสบภัยถือเป็นเหตุฉุกเฉิน
ข.
เหตุฉุกเฉินเกิดในที่ซึ่งไม่สามารถใช้โทรศัพท์หรือช่องทางสื่อสารอื่นได้
ค.
แม้เหตุเกิดในที่ชุมชนแต่การส่งข่าวผ่านวิทยุสื่อสารทำให้ประชาชนเห็นประโยชน์ว่าถ้าใช้วิทยุสมัครเล่นไม่ต้องเสียค่าโทรศัพท์
ง.
ถูกทุกข้อ
คำถามก่อนหน้า
คำถามต่อไป
คำถามที่ 24/100
90:00
นาที
24
HS8AC เป็นสัญญาณเรียกขานสถานีวิทยุสมัครเล่นควบคุมข่ายของจังหวัดอะไร และตั้งอยู่ที่ใด
ก.
ชัยภูมิ ภาคตะวันออกเฉียงเหนือตอนล่าง
ข.
ชัยนาท ภาคเหนือตอนล่าง
ค.
ฉะเชิงเทรา ภาคตะวันออก
ง.
ชุมพร ภาคใต้ตอนบน
คำถามก่อนหน้า
คำถามต่อไป
คำถามที่ 25/100
90:00
นาที
25
HS9AT เป็นสัญญาณเรียกขานสถานีวิทยุสมัครเล่นควบคุมข่ายของจังหวัดอะไร และตั้งอยู่ที่ใด
ก.
ตรัง ภาคใต้ตอนล่าง
ข.
เพชรบูรณ์ ภาคเหนือตอนล่าง
ค.
เพชรบุรี ภาคตะวันตก
ง.
นครพนม ภาคตะวันออกเฉียงเหนือตอนบน
คำถามก่อนหน้า
คำถามต่อไป
คำถามที่ 26/100
90:00
นาที
26
ข้อใดต่อไปนี้แสดงว่าเป็นการถูกรบกวนด้วยสัญญาณแบบ QRM
ก.
หน้าปัดเครื่องวิทยุคมนาคมในรถยนต์แสดงความแรงสัญญาณเพิ่มขึ้นหรือลดลงตามการเหยียบคันเร่ง
ข.
มีสัญญาณทะลุข้ามมาจากช่องข้างเคียง
ค.
มีสัญญาณเงียบ หรือมีการดัดเสียงพูดเข้ามารบกวน
ง.
ถูกทุกข้อ
คำถามก่อนหน้า
คำถามต่อไป
คำถามที่ 27/100
90:00
นาที
27
นายไข่ต้มบอกนางสาวไข่ดาวว่า “ท่านส่งสัญญาณผ่านรีพีทเตอร์ ผมรับสัญญาณท่านได้ดีอยู่แล้ว ไม่ต้อง QRO เพราะมันจะไปเปิดรีพีทเตอร์ของจังหวัดอื่นด้วย” หมายความว่าอย่างไร
ก.
การติดต่อผ่านสถานีทวนสัญญาณไม่ควรใช้กำลังส่งสูง
ข.
ควรใช้กำลังส่งสูงเพื่อเปิดสถานีทวนสัญญาณพร้อมกันได้หลายจังหวัด
ค.
ไม่ควรพูดเสียงดังขณะใช้สถานีทวนสัญญาณ
ง.
ถูกทุกข้อ
คำถามก่อนหน้า
คำถามต่อไป
คำถามที่ 28/100
90:00
นาที
28
ถ้าเราได้รับข้อความว่า QRZ? ที่หมายความว่า “ใครกำลังเรียกฉันอยู่” แสดงว่าคู่สถานีต้องการข้อมูลอะไรจากเรา
ก.
ชื่อจังหวัด
ข.
ชื่อ – สกุล
ค.
สัญญาณเรียกขาน
ง.
ที่ตั้งสถานี
คำถามก่อนหน้า
คำถามต่อไป
คำถามที่ 29/100
90:00
นาที
29
9M2CB พูดกันนายไข่ครอบผ่านสถานีทวนสัญญาณของมาเลเซีย ดังนี้ นายไข่ครอบ : “ได้เวลาพักกินข้าวนะ” 9M2CB : “ที่นี่ 13 นาฬิกา QTR ?” จากบทสนทนา นายไข่ครอบต้องตอบว่าอย่างไร
ก.
ถูกต้อง พักเที่ยงถึง 13 นาฬิกา
ข.
ได้เลย กลับมาเจอกันใหม่ 13 นาฬิกา
ค.
ที่นี่ 12 นาฬิกาครับ เวลาของไทยช้ากว่ามาเลเซีย 1 ชั่วโมง
ง.
QTR นี้ไม่ว่าง เพราะจะไปกินข้าวเที่ยง
คำถามก่อนหน้า
คำถามต่อไป
คำถามที่ 30/100
90:00
นาที
30
ถ้าได้รับรายงานสัญญาณว่า 29 หมายความว่าอย่างไร
ก.
น่าจะมีความผิดปกติในภาคส่ง เพราะความแรงสัญญาณต่ำ
ข.
ภาครับของคู่สถานีผิดปกติ
ค.
น่าจะมีความผิดปกติในภาคผสมสัญญาณ เพราะความแรงสัญญาณมากแต่เสียงไม่ชัด
ง.
คุณภาพสถานีดีมาก เพราะเสียงชัดเจนแม้ความแรงสัญญาณไม่มาก
คำถามก่อนหน้า
คำถามต่อไป
คำถามที่ 31/100
90:00
นาที
31
ถ้าได้รับรายงานสัญญาณว่า 44 หมายความว่าอย่างไร
ก.
รับข้อความได้ค่อนข้างชัด โดยมิเตอร์วัดความแรงสัญญาณขึ้นเกือบเต็มสเกล
ข.
รับข้อความได้ค่อนข้างชัด โดยมิเตอร์วัดความแรงสัญญาณขึ้นไม่ถึงครึ่ง
ค.
รับข้อความได้ค่อนข้างอ่อน โดยมิเตอร์วัดความแรงสัญญาณขึ้นเกือบเต็มสเกล
ง.
รับข้อความได้ค่อนข้างอ่อน โดยมิเตอร์วัดความแรงสัญญาณขึ้นไม่ถึงครึ่ง
คำถามก่อนหน้า
คำถามต่อไป
คำถามที่ 32/100
90:00
นาที
32
สัญญาณเรียกขาน EA3SKQ ออกเสียงตาม ITU Phonetic Alphabet อย่างไร
ก.
เอคโค-อัลฟา-ทรี-เซียรา-กิโล-คิว
ข.
เอคโค-อัลฟา-ทรี-เซียรา-กิโล-คิวเบก
ค.
เอคโค-อัลฟา-ทรี-เซียรา-กิโล-คิวปิด
ง.
เอคโค-อัลฟา-ทรี-เซียรา-กิโล-คิเบก
คำถามก่อนหน้า
คำถามต่อไป
คำถามที่ 33/100
90:00
นาที
33
สัญญาณเรียกขาน F6MRQ ออกเสียงตาม ITU Phonetic Alphabet อย่างไร
ก.
ฟอกซ์-ซิกซ์-ไมโครโฟน-เรดิโอ-คิเบก
ข.
ฟอกซ์ทร็อต-ซิกซ์-ไมค์-โรมิโอ-คิเบก
ค.
เฟรดี-ซิกซ์-มังกี-เรดิโอ-ควีน
ง.
ฟอกซ์-ซิกซ์-ไมค์-เรดิโอ-ควีน
คำถามก่อนหน้า
คำถามต่อไป
คำถามที่ 34/100
90:00
นาที
34
สัญญาณเรียกขาน I2NDT ออกเสียงตาม ITU Phonetic Alphabet อย่างไร
ก.
อินเดีย-ทู-โนดีล-แทงโก
ข.
อินเดีย-ทู-โนเวมเบอร์-เดลตา-แทงโก
ค.
ไอ-ทู-เนเวอร์-ดู-แธต
ง.
อินเดีย-ทู-น็อต-เดลตา-ทู
คำถามก่อนหน้า
คำถามต่อไป
คำถามที่ 35/100
90:00
นาที
35
สัญญาณเรียกขาน JA3AER ออกเสียงตาม ITU Phonetic Alphabet อย่างไร
ก.
เจแปน-อัลฟา-ทรี-อัลฟา-เอคโค-โรมิโอ
ข.
เจแปน-อเมริกา-ทรี-อเมริกา-เอคโค-เรดิโอ
ค.
จูเลียต-อัลฟา-ทรี-อัลฟา-เอคโค-โรมิโอ
ง.
เจแปน-อเมริกา-ทรี-อเมริกา-เอคโค-โรมิโอ
คำถามก่อนหน้า
คำถามต่อไป
คำถามที่ 36/100
90:00
นาที
36
สัญญาณเรียกขาน E2ØAW ออกเสียงตาม ITU Phonetic Alphabet อย่างไร
ก.
เอคโค-ยี่สิบ-วัตต์
ข.
เอคโค-ทู-ซีโร-อัลฟา-วิสกี
ค.
อีซี่-ทเวนตี้-เอเบิล-วิสกี้
ง.
เอคโค-ทู-โอ-อัลฟา-วิสกี
คำถามก่อนหน้า
คำถามต่อไป
คำถามที่ 37/100
90:00
นาที
37
ระหว่างที่นายไข่พะโล้กำลัง QSO กับนางสาวไข่ตุ๋น มีคีย์แทรกขึ้นมาว่า “Break (เบรก)” แสดงว่าบุคคลนั้นต้องการจะบอกว่าอะไร
ก.
เตือนนายไข่พะโล้ว่าพูดจาไม่เหมาะสม
ข.
สั่งนายไข่พะโล้ให้หยุดพูด
ค.
ขอขัดจังหวะการสนทนา
ง.
ขอคุยกับนางสาวไข่ตุ๋น
คำถามก่อนหน้า
คำถามต่อไป
คำถามที่ 38/100
90:00
นาที
38
คำว่า YT หมายถึงอะไร
ก.
ผู้ที่มีความหลายหลายทางเพศ
ข.
บุรุษ
ค.
ไม่มีในภาษาของนักวิทยุสมัครเล่น
ง.
สตรี
คำถามก่อนหน้า
คำถามต่อไป
คำถามที่ 39/100
90:00
นาที
39
เพื่อแจ้งให้ทราบว่าเราจะหยุดใช้แล้วและความถี่นี้ว่างให้ผู้อื่นใช้ได้ เราจะต้องทำอย่างไร
ก.
กล่าวลาแล้วตามด้วยคำว่า “เคลียร์”
ข.
กล่าวลาด้วยคำว่า 73
ค.
กล่าวลาและขานเวลา
ง.
กล่าวลาแล้วตามด้วยคำว่า “สแตนด์บาย”
คำถามก่อนหน้า
คำถามต่อไป
คำถามที่ 40/100
90:00
นาที
40
เราจะแจ้งอย่างไรให้ทราบว่าเราจะหยุดใช้ความถี่นี้แล้ว ให้ผู้อื่นใช้ต่อได้ แต่เรายังคงเฝ้าฟังอยู่และสามารถเรียกเราได้ตลอดเวลา
ก.
กล่าวลาแล้วตามด้วยคำว่า “เคลียร์”
ข.
กล่าวลาด้วยคำว่า 73
ค.
กล่าวลาและขานเวลา
ง.
กล่าวลาแล้วตามด้วยคำว่า “สแตนด์บาย”
คำถามก่อนหน้า
คำถามต่อไป
คำถามที่ 41/100
90:00
นาที
41
ระหว่างการ QSO มีผู้ขอความช่วยเหลืออย่างกะทันหัน แต่ในห้องวิทยุไม่มีกระดาษโน้ต เราควรทำอย่างไร
ก.
พยายามจำได้เท่าไหร่เท่านั้น
ข.
จดใน Logbook อย่างละเอียด
ค.
บอกสถานีอื่นที่ฟังอยู่ให้ช่วยจด
ง.
บอกให้รอและวิ่งออกไปหากระดาษปากกา
คำถามก่อนหน้า
คำถามต่อไป
คำถามที่ 42/100
90:00
นาที
42
เพราะอะไรเมื่อพบเหตุและได้ประสานงานขอความช่วยเหลือแล้ว จึงควรรออยู่ในที่เกิดเหตุจนกว่าเจ้าหน้าที่จะมาถึง
ก.
เพื่อให้ข้อมูลเพิ่มเติมในการเตรียมความพร้อมของเจ้าหน้าที่
ข.
เพื่อให้เจ้าหน้าที่รู้ว่าใครเป็นผู้แจ้ง
ค.
เพื่อเล่ารายละเอียดให้เจ้าหน้าที่ทราบ
ง.
เพื่อช่วยเจ้าหน้าที่รับหน้านักข่าว
คำถามก่อนหน้า
คำถามต่อไป
คำถามที่ 43/100
90:00
นาที
43
เหตุการณ์ในข้อใดเหมาะสำหรับการใช้สัญญาณ SOS หรือ May Day เพื่อขอความช่วยเหลือ
ก.
พบคนงานตกจากชั้นสอง อาการสาหัส
ข.
เกิดเหตุไฟไหม้หญ้ามีควันมาก
ค.
พบหญิงสาวถูกกระชากกระเป๋า
ง.
ถูกทุกข้อ
คำถามก่อนหน้า
คำถามต่อไป
คำถามที่ 44/100
90:00
นาที
44
ข้อมูลใดมีความจำเป็นน้อยที่สุดในการบันทึกลงในสมุดบันทึกการติดต่อสื่อสาร (Logbook)
ก.
วัน เดือน ปี และเวลาตั้งแต่เริ่มและสิ้นสุดการติดต่อแต่ละครั้ง
ข.
คลื่นความถี่และกำลังส่งของเครื่องวิทยุคมนาคมที่ใช้งานของผู้รับและผู้ส่ง
ค.
สัญญาณเรียกขานของพนักงานวิทยุสมัครเล่นที่ปฏิบัติหน้าที่ในขณะนั้น
ง.
ชื่อ – สกุล ของคู่สถานีที่ติดต่อด้วย
คำถามก่อนหน้า
คำถามต่อไป
คำถามที่ 45/100
90:00
นาที
45
ในบัตรยืนยันการติดต่อสื่อสาร (QSL Card) ข้อมูลใดจำเป็นต้องมี
ก.
รายงานสัญญาณ วัน เวลา และโหมดการติดต่อสื่อสาร
ข.
ชนิดของเครื่องวิทยุคมนาคมและสายอากาศ
ค.
ธงประจำชาติ
ง.
รูปของสถานีวิทยุคมนาคม
คำถามก่อนหน้า
คำถามต่อไป
คำถามที่ 46/100
90:00
นาที
46
n (nano : นาโน) เป็นคำนำหน้าหน่วย หมายถึง
ก.
1
⁄
10
9
ข.
1
⁄
10
6
ค.
1
⁄
10
7
ง.
1
⁄
10
5
คำถามก่อนหน้า
คำถามต่อไป
คำถามที่ 47/100
90:00
นาที
47
ความถี่ของระบบไฟฟ้ากระแสสลับที่ใช้ตามบ้านในประเทศไทยมีค่าเท่ากับ
ก.
50 กิโลเฮิรตซ์
ข.
50 เฮิรตซ์
ค.
50 เมกะเฮิรตซ์
ง.
60 เฮิรตซ์
คำถามก่อนหน้า
คำถามต่อไป
คำถามที่ 48/100
90:00
นาที
48
กระแสไฟฟ้ากำเนิดได้จาก
ก.
ปฏิกิริยาทางเคมี
ข.
การนำวัตถุต่างชนิดมาขัดสีกัน
ค.
การนำขดลวดตัวนำไปตัดเส้นแรงแม่เหล็ก
ง.
ถูกทุกข้อ
คำถามก่อนหน้า
คำถามต่อไป
คำถามที่ 49/100
90:00
นาที
49
แบตเตอรี่ที่ใช้ในรถยนต์ส่วนใหญ่เป็นแบตเตอรี่ชนิดใด
ก.
อัลคาไลน์
ข.
สังกะสี-ถ่าน
ค.
นิเกิล-แคดเมี่ยม
ง.
ตะกั่ว-กรด
คำถามก่อนหน้า
คำถามต่อไป
คำถามที่ 50/100
90:00
นาที
50
แบตเตอรี่ชนิดเดียวกันต่ออนุกรมกันจะได้
ก.
แรงดันเพิ่ม ความจุเพิ่ม
ข.
แรงดันเท่าเดิม ความจุเพิ่ม
ค.
แรงดันเท่าเดิม ความจุเท่าเดิม
ง.
แรงดันเพิ่ม ความจุเท่าเดิม
คำถามก่อนหน้า
คำถามต่อไป
คำถามที่ 51/100
90:00
นาที
51
ข้อใดต่อไปนี้ให้กระแสไฟฟ้าไหลน้อยที่สุด
ก.
ต่อตัวต้านทาน 300 โอห์ม (Ω) เข้ากับแบตเตอรี่ 10 โวลต์ (V)
ข.
ต่อตัวต้านทาน 400 โอห์ม (Ω) เข้ากับแบตเตอรี่ 10 โวลต์ (V)
ค.
ต่อตัวต้านทาน 500 โอห์ม (Ω) เข้ากับแบตเตอรี่ 10 โวลต์ (V)
ง.
ต่อตัวต้านทาน 800 โอห์ม (Ω) เข้ากับแบตเตอรี่ 10 โวลต์ (V)
คำถามก่อนหน้า
คำถามต่อไป
คำถามที่ 52/100
90:00
นาที
52
เมื่อทราบค่าแรงดันไฟฟ้าตกคร่อมตัวต้านทานและรู้ค่าความต้านทานของตัวต้านทานนั้น กำลังไฟฟ้า ที่สูญเสียในตัวต้านทาน สามารถหาได้โดยใช้สูตร
ก.
P = E + I
ข.
P = E
2
/ I
ค.
P = I - R
ง.
P = E
2
/ R
คำถามก่อนหน้า
คำถามต่อไป
คำถามที่ 53/100
90:00
นาที
53
จากรูปข้างล่างนี้ เป็นการต่อตัวต้านทานแบบ
ก.
อนุกรม
ข.
ขนาน
ค.
ผสม
ง.
ไม่มีคำตอบใดถูกต้อง
คำถามก่อนหน้า
คำถามต่อไป
คำถามที่ 54/100
90:00
นาที
54
จากรูปข้างล่างนี้ เป็นการต่อตัวต้านทานแบบ
ก.
ขนาน
ข.
ผสม
ค.
เดลต้า
ง.
อนุกรม
คำถามก่อนหน้า
คำถามต่อไป
คำถามที่ 55/100
90:00
นาที
55
ค่าประจุไฟฟ้า (Capacitance) มีหน่วยเป็น
ก.
ไมโครฟารัด (μF)
ข.
พิโคฟารัด (pF)
ค.
นาโนฟารัด (nF)
ง.
ถูกทุกข้อ
คำถามก่อนหน้า
คำถามต่อไป
คำถามที่ 56/100
90:00
นาที
56
คาปาซิทีฟ รีแอกแตนซ์ (Capacitive Reactance : XC) คือ
ก.
ความต้านทานการไหลของไฟฟ้ากระแสสลับของตัวต้านทาน
ข.
ความต้านทานการไหลของไฟฟ้ากระแสสลับของขดลวดเหนี่ยวนำไฟฟ้า
ค.
ความต้านทานการไหลของไฟฟ้ากระแสสลับของตัวเก็บประจุไฟฟ้า
ง.
ความต้านทานการไหลของไฟฟ้ากระแสสลับของลวดความร้อน
คำถามก่อนหน้า
คำถามต่อไป
คำถามที่ 57/100
90:00
นาที
57
สัญลักษณ์ทางไฟฟ้าข้างล่างนี้ หมายถึงอุปกรณ์ใด
ก.
ไอซี
ข.
ทรานซิสเตอร์
ค.
ไดโอดเปล่งแสง (Light Emitting Diode)
ง.
เอส ซี อาร์
คำถามก่อนหน้า
คำถามต่อไป
คำถามที่ 58/100
90:00
นาที
58
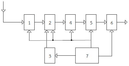
จากแผนผังอย่างง่ายของเครื่องรับวิทยุแบบ Superheterodyne ข้างล่างนี้ หมายเลข 5 เป็นภาคที่มีชื่อเรียกว่า
ก.
ภาคเอเอฟแอมปลิไฟเออร์ (AF Amplifier)
ข.
ภาคไอเอฟ แอมปลิไฟเออร์ (IF Amplifier)
ค.
ภาคอาร์เอฟแอมปลิไฟเออร์ (RF Amplifier)
ง.
ภาคดีเทคเตอร์ (Detector)
คำถามก่อนหน้า
คำถามต่อไป
คำถามที่ 59/100
90:00
นาที
59
ความถี่ไอเอฟ (IF) ของเครื่องรับวิทยุแบบซูเปอร์เฮเทอโรดายน์ เอฟเอ็ม (Superheterodyne FM) เป็นเท่าไร
ก.
455 เมกะเฮิรตซ์ (MHz)
ข.
10.7 เมกะเฮิรตซ์ (MHz)
ค.
500 เมกะเฮิรตซ์ (MHz)
ง.
2882 เมกะเฮิรตซ์ (MHz)
คำถามก่อนหน้า
คำถามต่อไป
คำถามที่ 60/100
90:00
นาที
60
การวัดอัตราการผสมคลื่นเสียงกับคลื่นวิทยุระบบเอเอ็มหรือแอมพลิจูดมอดูเลชั่น (Modulation) แสดงเป็น
ก.
กำลังการผสมคลื่น
ข.
ความดังของสัญญาณ
ค.
เปอร์เซ็นต์ของการผสมคลื่น
ง.
ความเบี่ยงเบนความถี่
คำถามก่อนหน้า
คำถามต่อไป
คำถามที่ 61/100
90:00
นาที
61
คลื่นความถี่ 145 เมกะเฮิรตซ์ (MHz) ที่พนักงานวิทยุสมัครเล่นขั้นต้นสามารถใช้งานได้ มีความยาวคลื่นประมาณเท่าใด
ก.
3 เมตร
ข.
2 เมตร
ค.
1 เมตร
ง.
0.5 เมตร
คำถามก่อนหน้า
คำถามต่อไป
คำถามที่ 62/100
90:00
นาที
62
สายอากาศยากิ (Yagi) ซึ่งจัดเป็นสายอากาศแบบมีทิศทาง (Directional Antenna) มีลักษณะการแพร่กระจายคลื่นอย่างไร
ก.
แพร่กระจายคลื่นออกไปได้ดีเฉพาะในแนวเหนือ-ใต้
ข.
แพร่กระจายคลื่นออกไปได้ดีเฉพาะในแนวตะวันออก-ตะวันตก
ค.
แพร่กระจายคลื่นออกไปได้ดีในทิศทางที่กำหนดไว้
ง.
แพร่กระจายคลื่นออกไปได้ใกล้เคียงกันในทุกทิศทาง
คำถามก่อนหน้า
คำถามต่อไป
คำถามที่ 63/100
90:00
นาที
63
สายอากาศในข้อใดเป็นสายอากาศแบบรอบตัว
ก.
สายอากาศยากิ
ข.
สายอากาศแบบล็อก-พิริออดิก (Log-Periodic)
ค.
สายอากาศควอเตอร์เวฟกราวด์เพลนแบบเวอร์ติคัลโพลาไรเซชัน (Vertical Polarization)
ง.
ถูกทั้งข้อ ก. และข้อ ข.
คำถามก่อนหน้า
คำถามต่อไป
คำถามที่ 64/100
90:00
นาที
64
รูปข้างล่างนี้เป็นสายนำสัญญาณชนิดใด
ก.
ลองวายร์ (Long Wire)
ข.
ทวินลีด (Twin Lead)
ค.
โคแอกเชียล (Coaxial)
ง.
โอเพนวายร์ (Open Wire)
คำถามก่อนหน้า
คำถามต่อไป
คำถามที่ 65/100
90:00
นาที
65
อาการจางหาย (Fading) ระหว่างการติดต่อทางวิทยุ คือ
ก.
การรับสัญญาณได้ไม่สม่ำเสมอบางครั้งสัญญาณขาดหายรับได้ไม่ดี
ข.
แรงดันไฟฟ้าที่ไม่คงที่
ค.
เครื่องรับวิทยุมีความไวไม่ดีพอ
ง.
สถานีส่งหันสายอากาศไม่ถูกทิศทาง
คำถามก่อนหน้า
คำถามต่อไป
คำถามที่ 66/100
90:00
นาที
66
อุปกรณ์ที่ใช้สำหรับต่อแทนสายอากาศเมื่อไม่ต้องการให้มีการแพร่กระจายคลื่นขณะปรับแต่งเครื่องรับ-ส่งวิทยุ คือ
ก.
ดัมมีโหลด (Dummy Load)
ข.
โอห์มมิเตอร์ (Ohmmeter)
ค.
อาร์เอฟโวลต์มิเตอร์ (RF Voltmeter)
ง.
ซิกแนลมิเตอร์ (Signal Meter)
คำถามก่อนหน้า
คำถามต่อไป
คำถามที่ 67/100
90:00
นาที
67
“เข็มขัดนิรภัย (Body Belt)” ประกอบด้วย ห่วงเหล็ก แผ่นรัดเอว และสายกันตก เป็นอุปกรณ์สำคัญที่ใช้ในการปีนเสาอากาศ มีประโยชน์อย่างไร
ก.
เพื่อป้องกันอุปกรณ์และเครื่องมือตกหล่นลงมาใส่ศีรษะ ช่วยลดอันตรายหรือผ่อนหนักเป็นเบา
ข.
เพื่อใช้ป้องกันการถูกกระแสไฟฟ้าดูด
ค.
เพื่อทำให้เกิดความมั่นใจ ป้องกันการตกในขณะปีนเสาอากาศและทำให้เกิดความสะดวกในการปฏิบัติงาน
ง.
เพื่อเป็นสัญลักษณ์ให้ผู้ที่อยู่ด้านล่างทราบว่ากำลังปฏิบัติงานอยู่และให้ออกจากพื้นที่ใต้เสาอากาศเพราะอาจจะเกิดอันตรายได้
คำถามก่อนหน้า
คำถามต่อไป
คำถามที่ 68/100
90:00
นาที
68
ในการเลือกซื้อเครื่องจ่ายแรงดันไฟฟ้ากระแสตรงเพื่อใช้กับเครื่องรับ-ส่งวิทยุจะต้องทราบคุณสมบัติทางไฟฟ้าอย่างไรบ้าง
ก.
ขนาดของแรงดันและกระแสไฟฟ้าที่จ่ายออกมาเพียงพอหรือไม่
ข.
มีวงจรรักษาขนาดของแรงดันไฟฟ้าที่จ่ายออกมาให้คงที่หรือไม่
ค.
มีวงจรป้องกันคลื่นวิทยุรบกวนหรือไม่
ง.
ถูกทุกข้อ
คำถามก่อนหน้า
คำถามต่อไป
คำถามที่ 69/100
90:00
นาที
69
เมื่อต้องการเห็นรูปคลื่นของสัญญาณไฟฟ้า ต้องใช้เครื่องมือวัดชนิดใด
ก.
อิเล็กตรอนไมโครสโคป (Electron Microscope)
ข.
ออสซิลโลสโคป (Oscilloscope)
ค.
เครื่องนับความถี่ (Frequency Counter)
ง.
เอซีโวลต์มิเตอร์ (AC Voltmeter)
คำถามก่อนหน้า
คำถามต่อไป
คำถามที่ 70/100
90:00
นาที
70
เครื่องมือที่แสดงค่าการแพร่แปลกปลอม (Spurious Emission) และการแพร่ฮาร์มอนิก (Harmonic Emission) คือ
ก.
เครื่องวิเคราะห์สเปคตรัม (Spectrum Analyzer)
ข.
มิเตอร์วัดกําลังสัญญาณวิทยุ (RF Power Meter)
ค.
ออสซิลโลสโคป (Oscilloscope)
ง.
เอสดับบลิวอาร์มิเตอร์ (SWR Meter)
คำถามก่อนหน้า
คำถามต่อไป
คำถามที่ 71/100
90:00
นาที
71
ถ้านำมิเตอร์วัดกําลังสัญญาณวิทยุ (RF Power Meter) มาต่อระหว่างเครื่องรับ-ส่งวิทยุกับดัมมีโหลด (Dummy Load) จะวัดได้ค่า
ก.
กําลังสัญญาณวิทยุ (RF Power Output Meter) ของเครื่องรับ-ส่งวิทยุ
ข.
ความถี่ (Frequency) ของเครื่องรับ-ส่งวิทยุ
ค.
กำลังสัญญาณเสียง (AF Power Output Meter) ของเครื่องรับ-ส่งวิทยุ
ง.
ความถี่กลาง (IF) ของเครื่องรับ-ส่งวิทยุ
คำถามก่อนหน้า
คำถามต่อไป
คำถามที่ 72/100
90:00
นาที
72
เครื่องมือที่ใช้วัดอัตราส่วนของกำลังส่งที่ออกสายอากาศกับกำลังส่งที่สะท้อนกลับมาจากสายอากาศ คือ
ก.
ซิกแนล มิเตอร์ (Signal Meter)
ข.
วีเอสดับบลิวอาร์ มิเตอร์ (VSWR Meter)
ค.
ฟิลด์สเตร็งท์ มิเตอร์ (Field Strength Meter)
ง.
อาร์เอฟ เพาเวอร์ มิเตอร์ (RF Power Meter)
คำถามก่อนหน้า
คำถามต่อไป
คำถามที่ 73/100
90:00
นาที
73
สายนำสัญญาณ เบอร์ RG-8 และ RG-58 มีค่าอิมพีแดนซ์ (Impedance) ประมาณเท่าใด
ก.
40 โอห์ม
ข.
75 โอห์ม
ค.
300 โอห์ม
ง.
50 โอห์ม
คำถามก่อนหน้า
คำถามต่อไป
คำถามที่ 74/100
90:00
นาที
74
โคแอกเชียลสวิตช์ (Coaxial Switch) ทำหน้าที่อะไร
ก.
ปิด-เปิดเครื่องรับ-ส่งวิทยุ
ข.
ปิด-เปิดระบบสายอากาศ
ค.
เลือกว่าจะให้เครื่องรับ-ส่งวิทยุต่อกับสายอากาศต้นใด
ง.
ไม่มีคำตอบข้อใดถูกต้อง
คำถามก่อนหน้า
คำถามต่อไป
คำถามที่ 75/100
90:00
นาที
75
ถ้าสายอากาศภาคส่งวางในแนวตั้ง สายอากาศภาครับควรวางในแนวใดจึงสามารถรับส่งได้ดีที่สุด
ก.
แนวเฉียงทำมุม 45 องศา
ข.
แนวนอน
ค.
แนวตั้ง
ง.
แนวขนานกับพื้นโลก
คำถามก่อนหน้า
คำถามต่อไป
คำถามที่ 76/100
90:00
นาที
76
เครื่องรับ-ส่งวิทยุแบบมือถือเมื่อต่อกับสายอากาศภายนอกที่มีอัตราขยาย (Gain) สูงและติดตั้งในที่สูง จะเกิดผลอย่างไร
ก.
รับ-ส่งได้ไกลกว่าเดิม
ข.
อาจถูกคลื่นความถี่อื่นรบกวน
ค.
อาจส่งคลื่นความถี่ไปรบกวนข่ายสื่อสารอื่น
ง.
ถูกทุกข้อ
คำถามก่อนหน้า
คำถามต่อไป
คำถามที่ 77/100
90:00
นาที
77
เหตุใดการใช้งานสายอากาศย่านความถี่ VHF จึงควรติดตั้งให้อยู่ในตำแหน่งสูงที่สุดเท่าที่จะทำได้
ก.
เพื่อให้แพร่กระจายคลื่นได้ไกลที่สุด
ข.
เพื่อให้ประหยัดพลังงานไฟฟ้า
ค.
เพื่อไม่ให้สายอากาศแพร่กระจายคลื่นฮาร์มอนิก (Harmonic) ออกมา
ง.
เพื่อให้ครบวงจรทางไฟฟ้าในเครื่องรับ-ส่งวิทยุ
คำถามก่อนหน้า
คำถามต่อไป
คำถามที่ 78/100
90:00
นาที
78
วงจรเรโซแนนซ์ ที่ใช้ในเครื่องรับ-ส่งวิทยุทั่ว ๆ ไปจะประกอบไปด้วยอุปกรณ์อะไร
ก.
รีซิสเตอร์ (Resistor)
ข.
คาปาซิเตอร์ (Capacitor) กับ รีซิสเตอร์ (Resistor)
ค.
อินดักเตอร์ (Inductor)
ง.
อินดักเตอร์ (Inductor) กับ คาปาซิเตอร์ (Capacitor)
คำถามก่อนหน้า
คำถามต่อไป
คำถามที่ 79/100
90:00
นาที
79
เมื่อต้องการทราบว่าวงจรเรโซแนนซ์นั้นมีความถี่เรโซแนนซ์เท่าใด ต้องใช้เครื่องมืออะไร
ก.
ดิปมิเตอร์ (DIP Meter)
ข.
เครื่องนับความถี่ (Frequency Counter)
ค.
โวลต์มิเตอร์ (Voltmeter)
ง.
วีเอสดับบลิวอาร์ มิเตอร์ (VSWR Meter)
คำถามก่อนหน้า
คำถามต่อไป
คำถามที่ 80/100
90:00
นาที
80
หลักปฏิบัติในขณะที่รับ-ส่งข่าวสารในบริเวณที่มีเสียงดังรบกวนมาก คือ
ก.
ลดความดังของเสียงที่ดังออกจากลำโพงของเครื่องรับ-ส่งวิทยุให้น้อยลง
ข.
ใช้หูฟังแทนลำโพงของเครื่องรับ-ส่งวิทยุ
ค.
เปลี่ยนลำโพงของเครื่องรับ-ส่งวิทยุให้มีขนาดใหญ่กว่าเดิม
ง.
นำเครื่องขยายเสียงมาต่อร่วมกับเครื่องรับ-ส่งวิทยุให้เสียงดังมากขึ้น
คำถามก่อนหน้า
คำถามต่อไป
คำถามที่ 81/100
90:00
นาที
81
การใช้เครื่องรับ-ส่งวิทยุโดยขาดการดูแลรักษา อาจทำให้เกิดการชำรุดในลักษณะใดได้บ้าง
ก.
รับได้ ส่งไม่ได้
ข.
ส่งได้ รับไม่ได้
ค.
ความไวและกำลังส่งลดน้อยลงกว่าเดิม
ง.
ถูกทุกข้อ
คำถามก่อนหน้า
คำถามต่อไป
คำถามที่ 82/100
90:00
นาที
82
การรบกวนของคลื่นวิทยุมีสาเหตุมาจากอะไร
ก.
ใช้ช่องสัญญาณเดียวกัน
ข.
ช่องสัญญาณข้างเคียงความถี่คลาดเคลื่อน
ค.
ความบกพร่องของภาครับของเครื่องรับ-ส่งวิทยุ
ง.
ถูกทุกข้อ
คำถามก่อนหน้า
คำถามต่อไป
คำถามที่ 83/100
90:00
นาที
83
เมื่อแบตเตอรี่ถูกประจุไฟฟ้ามากเกินพิกัด (Over Charge) จะทำให้
ก.
แบตเตอรี่มีความจุมากขึ้น
ข.
แบตเตอรี่ชำรุดเสียหาย
ค.
แบตเตอรี่มีความจุลดลง
ง.
แบตเตอรี่ยังคงใช้งานได้เป็นปกติ
คำถามก่อนหน้า
คำถามต่อไป
คำถามที่ 84/100
90:00
นาที
84
การรบกวนคลื่นความถี่วิทยุ มีสาเหตุจากอะไรบ้าง
ก.
มนุษย์ทำขึ้น
ข.
ปรากฏการณ์ธรรมชาติ
ค.
ถูกทั้งข้อ ก. และข้อ ข.
ง.
ไม่มีคำตอบข้อใดถูกต้อง
คำถามก่อนหน้า
คำถามต่อไป
คำถามที่ 85/100
90:00
นาที
85
การใช้กำลังส่งสูงอาจส่งผลกระทบอย่างไรบ้าง
ก.
มีสัญญาณแผ่กระจายไปรบกวนคลื่นความถี่ข้างเคียง
ข.
เกิดการรบกวนกับสถานีวิทยุคมนาคมที่ร่วมใช้คลื่นความถี่
ค.
มีคลื่นความถี่แปลกปลอมแผ่กระจายออกไปด้วยกำลังแรง
ง.
ถูกทุกข้อ
คำถามก่อนหน้า
คำถามต่อไป
คำถามที่ 86/100
90:00
นาที
86
พฤติกรรมเชิงจริยธรรม หมายถึงข้อใด
ก.
ความรู้สึกต่อพฤติกรรมต่าง ๆ ในทางที่ชอบหรือไม่ชอบ
ข.
เบื้องหลังการกระทำของบุคคลใช้เป็นเกณฑ์ในการเลือกกระทำ
ค.
การแสดงพฤติกรรมที่พึงประสงค์ของสังคมและปฏิเสธการแสดงพฤติกรรมที่ไม่พึงประสงค์ของสังคม
ง.
ไม่มีข้อถูก
คำถามก่อนหน้า
คำถามต่อไป
คำถามที่ 87/100
90:00
นาที
87
พระบรมราโชวาทของพระบาทสมเด็จพระเจ้าอยู่หัว รัชกาลที่ 9 ทรงมีพระราชดำรัส “การรู้จักข่มใจ” หมายถึงข้อใด
ก.
การรู้จักฝึกใจตนเอง
ข.
การประพฤติปฏิบัติต่อสิ่งที่เป็นประโยชน์
ค.
ความจริงใจต่อตนเอง
ง.
รู้จักเสียสละประโยชน์ส่วนตัวเพื่อส่วนรวม
คำถามก่อนหน้า
คำถามต่อไป
คำถามที่ 88/100
90:00
นาที
88
พนักงานวิทยุสมัครเล่นที่พูดจาสุภาพ อ่อนหวานและไพเราะ ตรงกับหลักธรรมะในข้อใด
ก.
เมตตา
ข.
กรุณา
ค.
มุทิตา
ง.
ปิยวาจา
คำถามก่อนหน้า
คำถามต่อไป
คำถามที่ 89/100
90:00
นาที
89
ผลดีของการมีสติหมายถึง ข้อใด
ก.
รู้ว่าใครจะทำอะไร
ข.
รู้เหตุการณ์ล่วงหน้า
ค.
รู้ว่าตนเองกำลังทำอะไร
ง.
รู้อดีตชาติของตนเอง
คำถามก่อนหน้า
คำถามต่อไป
คำถามที่ 90/100
90:00
นาที
90
ข้อใดต่อไปนี้ แสดงให้เห็นว่าเป็นผู้มีวินัยต่อตนเอง
ก.
ใช้งานความถี่วิทยุตามความคิดของตนเอง เพราะคิดว่าน่าจะไม่เดือดร้อนใคร
ข.
ใช้งานความถี่วิทยุในกิจการวิทยุสมัครเล่นตามลักษณะการใช้งานที่ กสทช. กำหนดไว้
ค.
ใช้เครื่องวิทยุคมนาคมในกิจการวิทยุสมัครเล่นเพื่อการประสานงานภายในหน่วยงานราชการ ตามคำสั่งของผู้บังคับบัญชา
ง.
ซื้อเครื่องวิทยุคมนาคมมาใช้งานโดยไม่สนใจว่าเครื่องวิทยุคมนาคมนั้นจะถูกกฎหมายหรือไม่ เพียงแค่ต้องการให้ติดต่อสื่อสารกับเจ้าหน้าที่ตำรวจได้ก็พอ
คำถามก่อนหน้า
คำถามต่อไป
คำถามที่ 91/100
90:00
นาที
91
บุคคลใดต่อไปนี้ ปฏิบัติตนเหมาะสมกับการเป็นพนักงานวิทยุสมัครเล่น
ก.
หญิงใหญ่ ใช้ถ้อยคำสุภาพในการออกอากาศทุกครั้ง
ข.
ชายใหญ่ รับ-ส่งข่าวสารอันมีเนื้อหาละเมิดต่อกฎหมายบ้านเมือง
ค.
ชายกลาง ติดต่อสื่อสารกับสถานีวิทยุคมนาคมที่ไม่ได้รับอนุญาตเป็นประจำ
ง.
หญิงเล็ก ใช้ช่องความถี่สำหรับโฆษณาเพื่อประชาสัมพันธ์ให้กับร้านคาราโอเกะของตนเอง
คำถามก่อนหน้า
คำถามต่อไป
คำถามที่ 92/100
90:00
นาที
92
ข้อใดไม่ใช่คุณธรรมและจริยธรรมของพนักงานวิทยุสมัครเล่น
ก.
ไม่เก็บรักษาข้อมูลความลับที่ไม่ควรเปิดเผย
ข.
รู้รักสามัคคีและเป็นมิตรกับพนักงานวิทยุสมัครเล่นทุกคน
ค.
มีความรับผิดชอบในการปฏิบัติหน้าที่พนักงานวิทยุสมัครเล่น
ง.
ปฏิบัติตามระเบียบ กฎหมายที่เกี่ยวข้องกับกิจการวิทยุสมัครเล่น
คำถามก่อนหน้า
คำถามต่อไป
คำถามที่ 93/100
90:00
นาที
93
ข้อใดเป็นข้อห้ามสำหรับกิจการวิทยุสมัครเล่น
ก.
ยินยอมให้ผู้อื่นที่ไม่มีใบอนุญาตใช้สถานีหรือเครื่องวิทยุคมนาคม
ข.
กระทำผิดกฎหมายวิทยุคมนาคมหรือกฎหมายอื่น ๆ ที่เกี่ยวข้อง
ค.
แย่งใช้ช่องสัญญาณติดต่อสื่อสาร
ง.
ถูกทุกข้อ
คำถามก่อนหน้า
คำถามต่อไป
คำถามที่ 94/100
90:00
นาที
94
ข้อใดคือคุณสมบัติที่ดีของนักวิทยุสมัครเล่นตามคำกล่าวของนายพอล เอ็ม ซีกัล (Pual M. Segal) นักวิทยุสมัครเล่นชาวอเมริกัน สัญญาณเรียกขาน W9EEA
ก.
นักวิทยุสมัครเล่นต้องคำนึงถึงผู้อื่น โดยไม่ตั้งใจใช้ความถี่ไปลดทอนความพึงพอใจของสถานีอื่น
ข.
นักวิทยุสมัครเล่นต้องเป็นผู้ที่มีความจริงใจ ให้การส่งเสริมและช่วยเหลือเพื่อนนักวิทยุสมัครเล่น
ค.
นักวิทยุสมัครเล่นต้องเป็นผู้รักความก้าวหน้า ติดตามเทคโนโลยีอยู่เสมอ และปรับปรุงสถานีวิทยุให้เกิดประสิทธิภาพสูงสุดและพร้อมใช้งานทันที
ง.
ถูกทุกข้อ
คำถามก่อนหน้า
คำถามต่อไป
คำถามที่ 95/100
90:00
นาที
95
ข้อใดคือคุณสมบัติที่ดีของนักวิทยุสมัครเล่นตามคำกล่าวของนายพอล เอ็ม ซีกัล (Pual M. Segal) นักวิทยุสมัครเล่นชาวอเมริกัน สัญญาณเรียกขาน W9EEA
ก.
นักวิทยุสมัครเล่นเป็นผู้ที่มีอัธยาศัย ความเป็นมิตร ให้ความร่วมมือ และคำนึงถึงประโยชน์ของผู้อื่นเสมอเพื่อความเป็นนักวิทยุสมัครเล่นที่ดีต่อกัน
ข.
นักวิทยุสมัครเล่นต้องเป็นผู้ที่มีความจริงใจ ให้การส่งเสริมและช่วยเหลือเพื่อนนักวิทยุสมัครเล่น
ค.
นักวิทยุสมัครเล่นต้องเป็นผู้รักความก้าวหน้า ติดตามเทคโนโลยีอยู่เสมอ และปรับปรุงสถานีวิทยุให้เกิดประสิทธิภาพสูงสุดและพร้อมใช้งานทันที
ง.
ถูกทุกข้อ
คำถามก่อนหน้า
คำถามต่อไป
คำถามที่ 96/100
90:00
นาที
96
ข้อใดต่อไปนี้ เป็นการกระทำที่ถูกต้อง
ก.
นายเป้ ใช้ถ้อยคำหยาบคายหรือเป็นการดูหมิ่นในการติดต่อสื่อสารอยู่เป็นประจำ
ข.
นายปังปอนด์ แนะนำให้นายปิ่นไปซื้อเครื่องวิทยุคมนาคมโดยไม่ต้องขอรับใบอนุญาตให้ใช้เครื่องวิทยุคมนาคม
ค.
นางสาวมิ้นต์ ใฝ่หาความรู้เทคโนโลยีใหม่ ๆ เพื่อพัฒนาตนเองและทำหน้าที่พนักงานวิทยุสมัครเล่นให้มีประสิทธิภาพยิ่งขึ้น
ง.
นางสาวไฉไล เป็นนักวิทยุสมัครเล่นได้ดัดแปลงเครื่องวิทยุคมนาคมกิจการวิทยุสมัครเล่นเพื่อให้สามารถใช้ความถี่ของมูลนิธิสาธารณกุศลต่าง ๆ
คำถามก่อนหน้า
คำถามต่อไป
คำถามที่ 97/100
90:00
นาที
97
ข้อใดต่อไปนี้ เป็นการกระทำที่ถูกต้อง
ก.
ยินยอมให้ผู้อื่นที่ไม่มีใบอนุญาตใช้สถานีวิทยุคมนาคมกระทำผิดกฎหมายวิทยุคมนาคม
ข.
ไม่รับจ้างวานเพื่อรับส่งข่าวสารไปยังบุคคลที่สาม
ค.
รับส่งข่าวสารอันมีเนื้อหาละเมิดต่อกฎหมาย
ง.
ติดต่อกับสถานีวิทยุคมนาคมที่ไม่ได้รับอนุญาต
คำถามก่อนหน้า
คำถามต่อไป
คำถามที่ 98/100
90:00
นาที
98
ข้อใดต่อไปนี้ เป็นการกระทำที่ถูกต้องภายหลังจากทราบว่าการปฏิบัติตนในการออกอากาศของเราไม่ถูกต้อง
ก.
สอบถามข้อมูลจากผู้ที่มีความรู้และฝึกฝนตนเองอย่างสม่ำเสมอ
ข.
ค้นหาข้อมูลเองไม่ต้องสอบถามใคร เพราะกลัวคนอื่นจะรู้ว่าเป็นมือใหม่
ค.
หยุดออกอากาศระยะหนึ่ง เพื่อให้คนอื่น ๆ ลืมการปฏิบัติของตนที่ผ่านมา
ง.
เปลี่ยนจากการออกอากาศเป็นการฟังอย่างเดียว
คำถามก่อนหน้า
คำถามต่อไป
คำถามที่ 99/100
90:00
นาที
99
ข้อใดเป็นเรื่องที่เหมาะสำหรับการนำมาเป็นบทสนทนาในการออกอากาศ
ก.
การนำเสนอขายสินค้าที่เป็นธุรกิจของตน
ข.
เทคนิคการติดต่อสื่อสารในโหมดต่าง ๆ
ค.
ศาสนาและการเมือง
ง.
เรื่องขำขันใต้สะดือ
คำถามก่อนหน้า
คำถามต่อไป
คำถามที่ 100/100
90:00
นาที
100
คำตอบในข้อใดเหมาะสมกับคำว่า “นักวิทยุสมัครเล่นที่ดี”
ก.
เป็นพนักงานวิทยุสมัครเล่นมานาน 20 ปีแล้ว ไม่จำเป็นต้องแจ้งสัญญาณเรียกขานเพราะทุกคนจำเสียงได้
ข.
คิดค้นและประดิษฐ์สายอากาศเป็นประจำเพื่อนำมาเสนอขายให้เพื่อนสมาชิกในการออกอากาศ
ค.
ปฏิบัติตนตามกฎระเบียบและเป็นแบบอย่างที่ดีให้กับนักวิทยุสมัครเล่นคนอื่น ๆ ในการออกอากาศ และคอยแนะนำการใช้คลื่นความถี่ให้กับผู้ที่สนใจ
ง.
ให้คำปรึกษากับเพื่อนสมาชิกในเรื่องการติดต่อสื่อสารในโหมดต่าง ๆ อย่างสม่ำเสมอ แต่ตนเองลืมไปดำเนินการขอรับใบอนุญาตพนักงานวิทยุสมัครเล่นฉบับใหม่ ภายหลังจากฉบับเดิมหมดอายุ
คำถามก่อนหน้า
คุณยังตอบคำถามไม่ครบ :
100
ข้อ จาก 100 ข้อ
(คลิกที่หมายเลขข้อที่ต้องการ เพื่อตอบคำถาม)
เลือก
1
2
3
4
5
6
7
8
9
10
11
12
13
14
15
16
17
18
19
20
21
22
23
24
25
26
27
28
29
30
31
32
33
34
35
36
37
38
39
40
41
42
43
44
45
46
47
48
49
50
51
52
53
54
55
56
57
58
59
60
61
62
63
64
65
66
67
68
69
70
71
72
73
74
75
76
77
78
79
80
81
82
83
84
85
86
87
88
89
90
91
92
93
94
95
96
97
98
99
100
เสร็จสิ้น