NBTC
ONE STOP SERVICE
สำนักงาน กสทช.
Home
E-Learning
E-Practice
เปลี่ยนภาษา:
Login
เข้าสู่ระบบ
เข้าสู่ระบบ สำหรับคนไทย
Login for Foreigner
สำหรับเจ้าหน้าที่ กสทช.
Light
Dark
เข้าสู่ระบบ สำหรับเจ้าหน้าที่
Username
* กรุณาระบุ Username
Password
* กรุณาระบุ Password
Login
OTP
เลขที่บัตรประชาชน
* กรุณาระบุเลขที่บัตร
*โปรดกรอกเลขที่บัตรเป็นตัวเลข 13 หลัก
*เลขที่บัตรไม่ถูกต้อง
ขอรหัสผ่าน
แบบฝึกหัดพนักงานวิทยุสมัครเล่น ขั้นต้น
แบบฝึกหัดพนักงานวิทยุสมัครเล่น
ขั้นต้น
ขั้นกลาง
ขั้นสูง
แบบฝึกหัดพนักงานวิทยุคมนาคมประเภททั่วไปประจำเรือ (GOC)
หมวดที่ 1. General Information and System Overview และ Principles of Communications
หมวดที่ 2. F.C.C. Rules & Regulations และ DSC & Alpha-Numeric ID
หมวดที่ 3. Distress, Urgency & Safety Communications และ Section-F: Survival Craft Equip & S.A.R
หมวดที่ 4. VHF-DSC Equipment & Communications และ Maritime Safety Information (M.S.I.)
หมวดที่ 5. Inmarsat Equip. & Communications และ MF-HF Equip. and Communications
แบบฝึกหัดพนักงานวิทยุคมนาคมประเภทจำกัดเขตเดินเรือทะเล (ROC)
หมวดที่ 1. General Information and System Overview และ F.C.C. Rules & Regulations
หมวดที่ 2. DSC & Alpha-Numeric ID Systems และ Distress, Urgency & Safety Communication
หมวดที่ 3. Survival Craft Equip & S.A.R, Maritime Safety Information (M.S.I.) และ VHF-DSC Equipment & Communication
เฉลย
ทดสอบอีกครั้ง
คำถามที่ 1/100
90:00
นาที
1
สหภาพโทรคมนาคมระหว่างประเทศ (ITU) แบ่งภารกิจในด้านต่าง ๆ เป็น 4 ภาคส่วน กิจการวิทยุสมัครเล่นอยู่ภายใต้ภาคส่วนใด
A.
ภาคการสื่อสารวิทยุ (ITU-R, Radiocommunication Sector)
B.
ภาคการกำหนดมาตรฐานโทรคมนาคม (ITU-T, Telecommunication Standardization Sector)
C.
ภาคการพัฒนาโทรคมนาคม (ITU-D, Telecommunication Development Sector)
D.
ภาคการจัดงาน ไอทียู เทเลคอม (ITU Telecom)
คำถามต่อไป
คำถามที่ 2/100
90:00
นาที
2
ตามข้อกำหนดของสหภาพโทรคมนาคมระหว่างประเทศ (ITU) ข้อใดมีคำนำหน้าสัญญาณเรียกขานเพื่อบอกประเทศ (Prefix) ของประเทศไทย
A.
VRxxxx และ Arxxxx
B.
9Mxxxx และ 9Wxxxx
C.
HSxxxx และ E2xxxx
D.
W2xxxx และ LKxxxx
คำถามก่อนหน้า
คำถามต่อไป
คำถามที่ 3/100
90:00
นาที
3
แผนแม่บทบริหารคลื่นความถี่ที่ กสทช. จัดทำขึ้นมีวัตถุประสงค์อะไร
A.
เพื่อเป็นแนวทางในการบริหารคลื่นความถี่ของประเทศชาติ
B.
เพื่อป้องกันไม่ให้หน่วยงานใดคัดค้านการจัดสรรคลื่นความถี่
C.
เพื่อป้องกันตนเองไม่ให้ถูกฟ้องร้อง
D.
ถูกทุกข้อ
คำถามก่อนหน้า
คำถามต่อไป
คำถามที่ 4/100
90:00
นาที
4
เพราะเหตุใดผู้ขอรับใบอนุญาตพนักงานวิทยุสมัครเล่นจึงต้องผ่านเกณฑ์การสอบเพื่อรับประกาศนียบัตรวิทยุสมัครเล่นก่อน
A.
เพื่อให้พนักงานวิทยุสมัครเล่นสามารถใช้ความถี่ได้อย่างถูกต้อง ปลอดภัยและได้รับประโยชน์สูงสุด
B.
เพื่อให้ผู้ได้รับใบอนุญาตพนักงานวิทยุสมัครเล่นสามารถเรียนต่อในสายวิชาวิศวกรรมโทรคมนาคมได้
C.
เพื่อให้เป็นไปตามกฎหมาย
D.
ถูกทุกข้อ
คำถามก่อนหน้า
คำถามต่อไป
คำถามที่ 5/100
90:00
นาที
5
เครื่องมือวัดทางอิเล็กทรอนิกส์และโทรคมนาคม เครื่องรับวิทยุคมนาคมที่ใช้ในกิจการวิทยุนำทาง (GPS) และเครื่องรับวิทยุคมนาคมที่ใช้ในกิจการช่วยอุตุนิยมวิทยา ซึ่งเป็นอุปกรณ์ที่ใช้งานคลื่นความถี่ แต่เพราะเหตุใดผู้ที่ใช้งานอุปกรณ์ดังกล่าวจึงไม่ต้องขอรับใบอนุญาต
A.
เพราะมีกำลังส่งต่ำเกินข้อกำหนดในพระราชบัญญัติ
B.
เพราะใช้คลื่นความถี่ต่ำเกินข้อกำหนดในพระราชบัญญัติ
C.
เพราะมีผู้ใช้งานมากเกินกำลังของสำนักงาน กสทช. จะพิจารณาออกใบอนุญาต
D.
เพราะได้รับยกเว้นตามกฎหมาย
คำถามก่อนหน้า
คำถามต่อไป
คำถามที่ 6/100
90:00
นาที
6
ในกฎระเบียบหรือข้อบังคับที่เกี่ยวข้องกับกิจการวิทยุสมัครเล่น จะเรียกนักวิทยุสมัครเล่นว่า "พนักงานวิทยุสมัครเล่น" เพราะเหตุใด
A.
เพื่อให้ฟังดูเป็นทางการ
B.
เป็นเจ้าพนักงานซึ่งรัฐมนตรีแต่งตั้งตามพระราชบัญญัติวิทยุคมนาคม พ.ศ. 2498
C.
เป็นประชาชนที่ได้รับมอบหมายให้ปฏิบัติหน้าที่ให้เป็นผู้ช่วยเจ้าพนักงานสื่อสารตามพระราชบัญญัติวิทยุคมนาคม พ.ศ. 2498
D.
เนื่องจากเป็นผู้ที่ใช้เครื่องวิทยุคมนาคมและคลื่นความถี่ในกิจการวิทยุสมัครเล่นภายใต้การกำกับดูแลของ กสทช. ตามกฎหมายซึ่งได้กำหนดให้ต้องได้รับใบอนุญาตพนักงานวิทยุสมัครเล่นด้วย
คำถามก่อนหน้า
คำถามต่อไป
คำถามที่ 7/100
90:00
นาที
7
เครื่องวิทยุคมนาคมที่พนักงานวิทยุสมัครเล่นสามารถขออนุญาตนำเข้าได้นั้น จะต้องมีคุณสมบัติสำคัญอย่างไร
A.
ความถี่ต่ำ
B.
กำลังส่งต่ำ
C.
เป็นเครื่องที่ผ่านการตรวจสอบรับรองมาตรฐานจาก กสทช.
D.
เป็นเครื่องที่ผ่านการตรวจสอบรับรองมาตรฐานจาก กฟภ.
คำถามก่อนหน้า
คำถามต่อไป
คำถามที่ 8/100
90:00
นาที
8
ข้อใดไม่ถูกต้อง
A.
ใบอนุญาตให้ใช้เครื่องวิทยุคมนาคม มีอายุตลอดอายุของเครื่องวิทยุคมนาคม ค่าธรรมเนียม 700 บาท
B.
ใบอนุญาตให้ค้าเพื่อการซ่อมแซมเครื่องวิทยุคมนาคม มีอายุ 5 ปี ค่าธรรมเนียม 500 บาท
C.
ใบอนุญาตให้ค้าเครื่องวิทยุคมนาคม มีอายุ 1 ปี ค่าธรรมเนียม 1,000 บาท
D.
ใบอนุญาตพนักงานวิทยุสมัครเล่น มีอายุ 5 ปี ค่าธรรมเนียม 200 บาท
คำถามก่อนหน้า
คำถามต่อไป
คำถามที่ 9/100
90:00
นาที
9
นายไข่ไก่ เป็นพนักงานขององค์กรปกครองส่วนท้องถิ่นและเป็นพนักงานวิทยุสมัครเล่นขั้นต้น ต้องการใช้เครื่องวิทยุคมนาคมเพียงเครื่องเดียวที่บรรจุคลื่นความถี่ขององค์กรปกครองส่วนท้องถิ่นและคลื่นความถี่กิจการวิทยุสมัครเล่น ได้หรือไม่
A.
ได้ โดยโปรแกรมคลื่นความถี่กิจการวิทยุสมัครเล่นเพิ่มในเครื่องวิทยุคมนาคมแบบสังเคราะห์ความถี่ของหน่วยงาน
B.
ได้ โดยนำเครื่องรับ-ส่งวิทยุย่านสมัครเล่นมาเปิดแบนด์เพื่อใช้งานคลื่นความถี่ของหน่วยงาน
C.
ได้ โดยจัดหาเครื่องวิทยุคมนาคมแบบสังเคราะห์ความถี่ ประเภทที่ 1 มาใช้งานซึ่งเป็นเครื่องวิทยุคมนาคมที่ผู้ใช้สามารถตั้งคลื่นความถี่ได้เองจากหน้าเครื่อง
D.
ไม่ได้ เพราะมาตรฐานของเครื่องวิทยุคมนาคมเป็นคนละกิจการ ดังนั้น จะต้องใช้เครื่องรับ-ส่งวิทยุย่านสมัครเล่น 1 เครื่อง และเครื่องวิทยุคมนาคมแบบสังเคราะห์ความถี่ ประเภทที่ 2 อีก 1 เครื่อง
คำถามก่อนหน้า
คำถามต่อไป
คำถามที่ 10/100
90:00
นาที
10
นายไข่ต้มมีเครื่องวิทยุคมนาคมไว้ในครอบครองอยู่ 1 เครื่อง ซึ่งภายหลังตรวจสอบพบว่าเป็นเครื่อง วิทยุเถื่อน นายไข่ต้มจะต้องทำอย่างไรเพื่อให้ถูกต้องตามกฎหมาย
A.
นำเครื่องไปเสียภาษีและชำระค่าปรับที่กรมศุลกากร
B.
นำเครื่องไปขึ้นทะเบียนเป็นครุภัณฑ์ของราชการและทำเรื่องขอยืมใช้
C.
นำเครื่องไปขึ้นทะเบียนที่ กสทช.
D.
เครื่องเถื่อนคือเครื่องที่นำเข้าโดยไม่ได้รับอนุญาตและไม่ผ่านพิธีการทางศุลกากร ไม่สามารถทำให้ถูกต้องตามกฎหมายได้
คำถามก่อนหน้า
คำถามต่อไป
คำถามที่ 11/100
90:00
นาที
11
กิจการวิทยุสมัครเล่นสามารถใช้เป็นเครื่องมือเพื่อพัฒนาความรู้ด้านการสื่อสารด้วยคลื่นวิทยุ เนื่องจาก
A.
พนักงานวิทยุสมัครเล่นเป็นผู้มีฐานะดี สามารถลงทุนซื้ออุปกรณ์และเครื่องมือราคาแพง
B.
พนักงานวิทยุสมัครเล่นมีโอกาสศึกษาทดลอง วิจัย และสร้างอุปกรณ์ที่ใช้คลื่นความถี่ที่กำหนดไว้สำหรับกิจการวิทยุสมัครเล่น
C.
พนักงานวิทยุสมัครเล่นอยู่ใกล้ชิด กสทช. ซึ่งเป็นแหล่งความรู้ด้านโทรคมนาคม
D.
ถูกทุกข้อ
คำถามก่อนหน้า
คำถามต่อไป
คำถามที่ 12/100
90:00
นาที
12
ผู้ที่ยังไม่ได้รับใบอนุญาตพนักงานวิทยุสมัครเล่น สามารถใช้คลื่นความถี่ในกิจการวิทยุสมัครเล่นได้ในกรณีใด
A.
ทดลองออกอากาศเพื่อฝึกฝนตนเองโดยใช้สถานีวิทยุสมัครเล่นควบคุมข่าย และต้องอยู่ภายใต้การกำกับดูแลจากผู้ที่ได้รับใบอนุญาตพนักงานวิทยุสมัครเล่น
B.
ทดลองออกอากาศเพื่อฝึกฝนตนเองโดยใช้สถานีวิทยุสมัครเล่นขององค์กรวิทยุสมัครเล่น (Club station) และต้องอยู่ภายใต้การกำกับดูแลจากผู้ที่ได้รับใบอนุญาตพนักงานวิทยุสมัครเล่น
C.
ทดลองออกอากาศเพื่อฝึกฝนตนเองโดยใช้สถานีวิทยุสมัครเล่นสำหรับกิจกรรมพิเศษ (Special event station) และต้องอยู่ภายใต้การกำกับดูแลจากผู้ที่ได้รับใบอนุญาตพนักงานวิทยุสมัครเล่น
D.
ถูกทุกข้อ
คำถามก่อนหน้า
คำถามต่อไป
คำถามที่ 13/100
90:00
นาที
13
พนักงานวิทยุสมัครเล่นจะถูกยกเลิกสัญญาณเรียกขานก็ต่อเมื่อ
A.
พนักงานวิทยุสมัครเล่นเสียชีวิต
B.
ใบอนุญาตพนักงานวิทยุสมัครเล่นหมดอายุไปแล้วเป็นระยะเวลาเกินกว่า 2 ปี
C.
ถูกเพิกถอนใบอนุญาตพนักงานวิทยุสมัครเล่นจากการกระทำผิดกฎหมาย
D.
ถูกทุกข้อ
คำถามก่อนหน้า
คำถามต่อไป
คำถามที่ 14/100
90:00
นาที
14
ในระหว่างการใช้งานคลื่นความถี่ พนักงานวิทยุสมัครเล่นจะต้องมีการแจ้งสัญญาณเรียกขานเพื่อเป็นการแสดงตัวตนอย่างไร
A.
แจ้งครั้งแรกก่อนเริ่มสนทนาและแจ้งอีกครั้งก่อนลงจากความถี่เท่านั้น
B.
แจ้งเป็นระยะ ๆ อย่างน้อยทุก 10 นาที
C.
แจ้งช่วงต้นประโยคและก่อนจบประโยคเท่านั้น
D.
ไม่ต้องแจ้งเลยเพราะเพื่อนสมาชิกในความถี่จำเราได้อยู่แล้ว
คำถามก่อนหน้า
คำถามต่อไป
คำถามที่ 15/100
90:00
นาที
15
กสทช. อาจไม่พิจารณาอนุญาตให้ตั้งสถานีวิทยุสมัครเล่น ซึ่งตั้งอยู่ใกล้กับสำนักงาน กสทช. ส่วนภูมิภาค ในรัศมีไม่เกินกี่กิโลเมตร
A.
0.5 กิโลเมตร
B.
1 กิโลเมตร
C.
2 กิโลเมตร
D.
2.5 กิโลเมตร
คำถามก่อนหน้า
คำถามต่อไป
คำถามที่ 16/100
90:00
นาที
16
การกำหนดให้สถานีวิทยุสมัครเล่นควบคุมข่าย สถานีวิทยุสมัครเล่นขององค์กรวิทยุสมัครเล่น สถานีวิทยุสมัครเล่นสำหรับกิจกรรมพิเศษ, และสถานีวิทยุสมัครเล่นประจำที่ ต้องบันทึกรายละเอียดลงในสมุดบันทึกการติดต่อสื่อสาร (Log Book) มีวัตถุประสงค์เพื่อ
A.
เพื่อเป็นหลักฐานประกอบการเรียนรู้ถึงความเปลี่ยนแปลงของสัญญาณในช่วงต่าง ๆ ของปี
B.
หากมีปัญหาเกิดขึ้นจากคลื่นความถี่ของสถานีเหล่านี้ จะมีหลักฐานตรวจสอบได้ มิฉะนั้นเจ้าของสถานีวิทยุคมนาคมจะต้องเป็นผู้รับผิดชอบ
C.
เพื่อเก็บเป็นข้อมูลแสดงประสิทธิภาพของการสื่อสารและสถานีที่สามารถติดต่อได้
D.
ถูกทุกข้อ
คำถามก่อนหน้า
คำถามต่อไป
คำถามที่ 17/100
90:00
นาที
17
สถานีวิทยุสมัครเล่นชนิดประจำที่ต้องมีสมุดบันทึกการติดต่อสื่อสาร (Logbook) ไว้ประจำสถานีวิทยุสมัครเล่น เพื่อบันทึกรายละเอียดอะไรบ้าง
A.
วัน เดือน ปี และเวลาตั้งแต่เริ่มต้นและสิ้นสุดการติดต่อสื่อสารแต่ละครั้ง
B.
สัญญาณเรียกขานของคู่สถานีที่ติดต่อ
C.
ชื่อ-สกุล ของพนักงานวิทยุสมัครเล่นที่ปฏิบัติหน้าที่
D.
ถูกทุกข้อ
คำถามก่อนหน้า
คำถามต่อไป
คำถามที่ 18/100
90:00
นาที
18
“การรบกวนอย่างรุนแรง” หมายถึง
A.
การรบกวนที่เป็นอันตรายต่อการทำงานของสถานีวิทยุคมนาคมที่จัดให้เป็นกิจการหลัก
B.
การรบกวนที่ทำให้เกิดผลเสียอย่างรุนแรงหรือขัดขวางต่อการดำเนินกิจการของสถานีวิทยุคมนาคมที่จัดให้เป็นกิจการหลักตามข้อบังคับวิทยุ
C.
การขัดขวางหรือขัดจังหวะเป็นช่วง ๆ ต่อการดำเนินกิจการของสถานีวิทยุคมนาคมที่จัดให้เป็นกิจการหลักตามข้อบังคับวิทยุ
D.
ถูกทุกข้อ
คำถามก่อนหน้า
คำถามต่อไป
คำถามที่ 19/100
90:00
นาที
19
ข้อใดต่อไปนี้คือความหมายของแนวทางการใช้งานความถี่ (Band plan)
A.
ข้อกำหนดการใช้งานความถี่สำหรับติดต่อสื่อสารในแต่ละประเภท
B.
ตารางกำหนดเวลาการใช้งานคลื่นความถี่
C.
ตารางแสดงความถี่ของการทำเน็ต
D.
ตารางแสดงช่องความถี่สำหรับสถานีวิทยุสมัครเล่นควบคุมข่ายหรือสถานี Club station
คำถามก่อนหน้า
คำถามต่อไป
คำถามที่ 20/100
90:00
นาที
20
เราสามารถให้ผู้ที่มิใช่พนักงานวิทยุสมัครเล่นทดลองออกอากาศจากสถานีวิทยุสมัครเล่นส่วนตัว ของเราได้หรือไม่ หากมีการทดลองดังกล่าว ถือว่าเป็นข้อห้ามในกรณีใด
A.
ให้ทดลองได้ โดยเราจะต้องเฝ้าดูแลตลอดการออกอากาศและต้องบันทึกลง Log Book
B.
ให้ทดลองได้ เพราะเป็นการประชาสัมพันธ์กิจการวิทยุสมัครเล่น
C.
ไม่ได้ โดยผู้ออกอากาศเท่านั้นที่มีความผิดเพราะไม่มีใบอนุญาต
D.
ไม่ได้ เพราะเป็นกรณียินยอมให้ผู้อื่นใช้สถานีวิทยุคมนาคม ซึ่งมิใช่สถานีวิทยุสมัครเล่นที่มีลักษณะการใช้งานร่วมกัน
คำถามก่อนหน้า
คำถามต่อไป
คำถามที่ 21/100
90:00
นาที
21
การ “ลักลอบนำเข้าวิทยุสื่อสารจากต่างประเทศ (ไม่ผ่านพิธีการศุลกากร)” มีความผิด มากกว่า น้อยกว่า หรือเท่ากับการซื้อเครื่องที่นำเข้าอย่างถูกต้องโดยไม่ขอใบอนุญาตมีและใช้
A.
มากกว่า คือ ให้พ้นจากการเป็นนักวิทยุสมัครเล่นไม่เกินหนึ่งปี
B.
น้อยกว่า คือ ให้พ้นจากการเป็นนักวิทยุสมัครเล่นไม่เกินหกเดือน
C.
เท่ากัน คือ ให้พ้นจากการเป็นนักวิทยุสมัครเล่นไม่เกินหนึ่งปี
D.
เท่ากัน คือ ให้พ้นจากการเป็นนักวิทยุสมัครเล่นไม่เกินหกเดือน
คำถามก่อนหน้า
คำถามต่อไป
คำถามที่ 22/100
90:00
นาที
22
ข้อใดไม่ใช่คลื่นความถี่กลางสำหรับติดต่อประสานงานระหว่างประชาชนและหน่วยงานของรัฐ
A.
78.500 MHz
B.
245.500 MHz
C.
145.000 MHz
D.
147.425 MHz
คำถามก่อนหน้า
คำถามต่อไป
คำถามที่ 23/100
90:00
นาที
23
พนักงานวิทยุสมัครเล่นสามารถช่วยส่งข่าวจากผู้ประสบภัยไปยังญาติมิตรผ่านคลื่นความถี่วิทยุสมัครเล่นได้ในกรณีใด
A.
ได้ทุกกรณีเพราะการมีผู้ประสบภัยถือเป็นเหตุฉุกเฉิน
B.
เหตุฉุกเฉินเกิดในที่ซึ่งไม่สามารถใช้โทรศัพท์หรือช่องทางสื่อสารอื่นได้
C.
แม้เหตุเกิดในที่ชุมชนแต่การส่งข่าวผ่านวิทยุสื่อสารทำให้ประชาชนเห็นประโยชน์ว่าถ้าใช้วิทยุสมัครเล่นไม่ต้องเสียค่าโทรศัพท์
D.
ถูกทุกข้อ
คำถามก่อนหน้า
คำถามต่อไป
คำถามที่ 24/100
90:00
นาที
24
HS7AM เป็นสัญญาณเรียกขานสถานีวิทยุสมัครเล่นควบคุมข่ายของจังหวัดอะไร และตั้งอยู่ที่ใด
A.
สมุทรสงคราม ภาคตะวันตก
B.
ระนอง ภาคใต้ตอนบน
C.
มหาสารคาม ภาคตะวันออกเฉียงเหนือตอนบน
D.
เชียงใหม่ ภาคเหนือตอนบน
คำถามก่อนหน้า
คำถามต่อไป
คำถามที่ 25/100
90:00
นาที
25
HS9AT เป็นสัญญาณเรียกขานสถานีวิทยุสมัครเล่นควบคุมข่ายของจังหวัดอะไร และตั้งอยู่ที่ใด
A.
ตรัง ภาคใต้ตอนล่าง
B.
เพชรบูรณ์ ภาคเหนือตอนล่าง
C.
เพชรบุรี ภาคตะวันตก
D.
นครพนม ภาคตะวันออกเฉียงเหนือตอนบน
คำถามก่อนหน้า
คำถามต่อไป
คำถามที่ 26/100
90:00
นาที
26
ข้อใดต่อไปนี้แสดงว่าเป็นการถูกรบกวนด้วยสัญญาณแบบ QRM
A.
หน้าปัดเครื่องวิทยุคมนาคมในรถยนต์แสดงความแรงสัญญาณเพิ่มขึ้นหรือลดลงตามการเหยียบคันเร่ง
B.
มีสัญญาณทะลุข้ามมาจากช่องข้างเคียง
C.
มีสัญญาณเงียบ หรือมีการดัดเสียงพูดเข้ามารบกวน
D.
ถูกทุกข้อ
คำถามก่อนหน้า
คำถามต่อไป
คำถามที่ 27/100
90:00
นาที
27
ก่อนส่งข่าวทางวิทยุโทรเลขด้วยรหัสมอร์ส ผู้ส่งจะส่งรหัสที่หมายถึงตัว V ย่อมาจาก QRV เพื่อบอก คู่สถานีว่าอะไร
A.
รอสักครู่
B.
เตรียมพร้อมนะ จะส่งข้อความแล้ว
C.
เราชนะแล้ว
D.
ขอทดสอบสัญญาณ
คำถามก่อนหน้า
คำถามต่อไป
คำถามที่ 28/100
90:00
นาที
28
“73 เคลียร์ค่ะ QSY ช่องเรียกขาน” นางสาวไข่ดาวกำลังบอกว่าอะไร
A.
สวัสดีค่ะ ขอให้ทุกคนปล่อยความถี่ว่างด้วย ไข่ดาวต้องการใช้ความถี่นี้ค่ะ
B.
สวัสดีค่ะ ไข่ดาวจะใช้ความถี่นี้เรียกขาน เข้าใจตรงกันนะคะ
C.
ไข่ดาวจะหยุดใช้ความถี่เรียกขานนี้แล้วนะคะ แต่จะเฝ้าฟังอยู่ สวัสดีค่ะ
D.
ไข่ดาวเลิกใช้ความถี่นี้แล้วนะคะ และจะเปลี่ยนไปที่ช่องความถี่เรียกขาน สวัสดีค่ะ
คำถามก่อนหน้า
คำถามต่อไป
คำถามที่ 29/100
90:00
นาที
29
9M2CB พูดกันนายไข่ครอบผ่านสถานีทวนสัญญาณของมาเลเซีย ดังนี้ นายไข่ครอบ : “ได้เวลาพักกินข้าวนะ” 9M2CB : “ที่นี่ 13 นาฬิกา QTR ?” จากบทสนทนา นายไข่ครอบต้องตอบว่าอย่างไร
A.
ถูกต้อง พักเที่ยงถึง 13 นาฬิกา
B.
ได้เลย กลับมาเจอกันใหม่ 13 นาฬิกา
C.
ที่นี่ 12 นาฬิกาครับ เวลาของไทยช้ากว่ามาเลเซีย 1 ชั่วโมง
D.
QTR นี้ไม่ว่าง เพราะจะไปกินข้าวเที่ยง
คำถามก่อนหน้า
คำถามต่อไป
คำถามที่ 30/100
90:00
นาที
30
รหัส Q ในข้อใดเกี่ยวกับข้อมูลคุณภาพสัญญาณ
A.
QSP และ QRO
B.
QSA และ QRK
C.
QSL และ QRP
D.
QSM และ QRN
คำถามก่อนหน้า
คำถามต่อไป
คำถามที่ 31/100
90:00
นาที
31
ถ้าได้รับรายงานสัญญาณว่า 44 หมายความว่าอย่างไร
A.
รับข้อความได้ค่อนข้างชัด โดยมิเตอร์วัดความแรงสัญญาณขึ้นเกือบเต็มสเกล
B.
รับข้อความได้ค่อนข้างชัด โดยมิเตอร์วัดความแรงสัญญาณขึ้นไม่ถึงครึ่ง
C.
รับข้อความได้ค่อนข้างอ่อน โดยมิเตอร์วัดความแรงสัญญาณขึ้นเกือบเต็มสเกล
D.
รับข้อความได้ค่อนข้างอ่อน โดยมิเตอร์วัดความแรงสัญญาณขึ้นไม่ถึงครึ่ง
คำถามก่อนหน้า
คำถามต่อไป
คำถามที่ 32/100
90:00
นาที
32
สัญญาณเรียกขาน G4UAV ออกเสียงตาม ITU Phonetic Alphabet อย่างไร
A.
กอล์ฟ-โฟร์-ยูนิฟอร์ม-อัลฟา-วิกเต้
B.
กอล์ฟ-โฟร์-ยูนิคอร์น-อัลฟา-วิกตี้
C.
กอล์ฟ-โฟร์-ยูนิฟอร์ม-อัลฟา-วิกต้า
D.
กอล์ฟ-โฟร์-ยูนิคอร์น-อัลฟา-วิกโต้
คำถามก่อนหน้า
คำถามต่อไป
คำถามที่ 33/100
90:00
นาที
33
สัญญาณเรียกขาน HS1YL ออกเสียงตาม ITU Phonetic Alphabet อย่างไร
A.
โฮเทล-เซียรา-วัน-แยงกี-ลิมา
B.
ฮันนี-ชูการ์-วัน-เยลโลว์-ไลม์
C.
โฮเทล-ชูการ์-วัน-แยงกี-ลิมา
D.
โฮเทล-ชูการ์-วัน-เยลโลว์-ลิมา
คำถามก่อนหน้า
คำถามต่อไป
คำถามที่ 34/100
90:00
นาที
34
สัญญาณเรียกขาน VK3KT ออกเสียงตาม ITU Phonetic Alphabet อย่างไร
A.
วิกเตอร์-คิง-ทรี-คิง-แทงโก
B.
วีนนิ-คิง-ทรี-คิง-โตเมโต
C.
วี-เค-ทรี-เค-ที
D.
วิกต้า-กิโล-ทรี-กิโล-แทงโก
คำถามก่อนหน้า
คำถามต่อไป
คำถามที่ 35/100
90:00
นาที
35
สัญญาณเรียกขาน E2ØAW ออกเสียงตาม ITU Phonetic Alphabet อย่างไร
A.
เอคโค-ยี่สิบ-วัตต์
B.
เอคโค-ทู-ซีโร-อัลฟา-วิสกี
C.
อีซี่-ทเวนตี้-เอเบิล-วิสกี้
D.
เอคโค-ทู-โอ-อัลฟา-วิสกี
คำถามก่อนหน้า
คำถามต่อไป
คำถามที่ 36/100
90:00
นาที
36
เมื่อได้ยินสัญญาณเรียกขาน “เอกซ์เรย์-เอคโค-วัน-เดลตา-เอกซ์เรย์” เขียนเป็นตัวอักษรอย่างไร
A.
XR1DTR
B.
XE1DX
C.
EX1XD
D.
XR1RX
คำถามก่อนหน้า
คำถามต่อไป
คำถามที่ 37/100
90:00
นาที
37
ระหว่างที่นายไข่พะโล้กำลัง QSO กับนางสาวไข่ตุ๋น มีคีย์แทรกขึ้นมาว่า “Break (เบรก)” แสดงว่าบุคคลนั้นต้องการจะบอกว่าอะไร
A.
เตือนนายไข่พะโล้ว่าพูดจาไม่เหมาะสม
B.
สั่งนายไข่พะโล้ให้หยุดพูด
C.
ขอขัดจังหวะการสนทนา
D.
ขอคุยกับนางสาวไข่ตุ๋น
คำถามก่อนหน้า
คำถามต่อไป
คำถามที่ 38/100
90:00
นาที
38
ข้อใดเป็นการใช้คำว่า Roger อย่างถูกต้อง
A.
คุยกันมานาน ยังไม่ Roger หน้ากันเลย ขอ Eyeball หน่อยได้ไหมคะ
B.
เรื่องนี้ผมก็ Roger มานานแล้ว
C.
ขอประทานโทษ ท่าน Roger ที่ตั้งของ E27AU หรือไม่
D.
Roger ครับ จะออกปฏิบัติเดี๋ยวนี้
คำถามก่อนหน้า
คำถามต่อไป
คำถามที่ 39/100
90:00
นาที
39
คำว่า OL หมายถึงอะไร
A.
เพื่อนรักที่เป็นผู้หญิง
B.
หญิงชรา
C.
ไม่มีในภาษาของนักวิทยุสมัครเล่น
D.
คุณแม่
คำถามก่อนหน้า
คำถามต่อไป
คำถามที่ 40/100
90:00
นาที
40
เมื่อเราต้องการบอกว่า “ลาแล้วนะ สวัสดี” ในภาษาของนักวิทยุสมัครเล่นจะแทนด้วยคำว่าอะไร
A.
บายบาย
B.
CUL
C.
73
D.
ว.61
คำถามก่อนหน้า
คำถามต่อไป
คำถามที่ 41/100
90:00
นาที
41
ระหว่างการ QSO มีผู้ขอความช่วยเหลืออย่างกะทันหัน คู่สถานีของเราเป็นผู้รับแจ้งเหตุ เราซึ่งว่างอยู่ควรทำอย่างไร
A.
ฟังเฉย ๆ
B.
ช่วยซักถาม
C.
โทรศัพท์ไปแจ้งผู้เกี่ยวข้อง
D.
ช่วยจดบันทึกอย่างเงียบ ๆ เพื่อเป็นข้อมูลสำรองถ้าจำเป็น
คำถามก่อนหน้า
คำถามต่อไป
คำถามที่ 42/100
90:00
นาที
42
เพราะเหตุใดพนักงานวิทยุสมัครเล่นจึงสามารถเป็นจิตอาสาที่ดีของประเทศชาติในด้านการสื่อสาร
A.
จากการที่พนักงานวิทยุสมัครเล่นได้ศึกษาเรียนรู้เกี่ยวกับการสื่อสารทางวิทยุด้วยตนเอง
B.
จากการสร้างสังคมแห่งการเรียนรู้และเครือข่ายของนักสื่อสารสมัครเล่น
C.
มีความรู้และเครื่องมือสื่อสารที่สามารถช่วยเหลือสังคมและสร้างข่ายสื่อสารสำรองของชาติ
D.
ถูกทุกข้อ
คำถามก่อนหน้า
คำถามต่อไป
คำถามที่ 43/100
90:00
นาที
43
ถ้าพบผู้บาดเจ็บต้องการความช่วยเหลือ อะไรบ้างที่เราควรสังเกตก่อนแจ้งขอความช่วยเหลือ
A.
สภาพและสาเหตุของการบาดเจ็บ
B.
ความหนักเบาของอาการ
C.
ความช่วยเหลือที่ต้องการ
D.
ถูกทุกข้อ
คำถามก่อนหน้า
คำถามต่อไป
คำถามที่ 44/100
90:00
นาที
44
สมุดบันทึกการติดต่อสื่อสาร (Logbook) ต้องเก็บไว้นานเท่าไร
A.
1 ปี
B.
3 ปี
C.
5 ปี
D.
7 ปี
คำถามก่อนหน้า
คำถามต่อไป
คำถามที่ 45/100
90:00
นาที
45
การแลกเปลี่ยน QSL Card หรือบัตรยืนยันการติดต่อสื่อสารมีวัตถุประสงค์เพื่ออะไร
A.
เพื่อศึกษาความเปลี่ยนแปลงของชั้นบรรยากาศ
B.
เพื่อส่งให้สำนักงาน กสทช. ตรวจสอบเป็นระยะ ๆ
C.
เพื่อยืนยันว่าติดต่อกันได้จริง และสะสมไว้แลกรางวัล
D.
เพื่อเป็นหลักฐานในการต่ออายุใบอนุญาต
คำถามก่อนหน้า
คำถามต่อไป
คำถามที่ 46/100
90:00
นาที
46
กำลังไฟฟ้า 100 วัตต์ (W) มีค่าเท่ากับกี่กิโลวัตต์ (kW)
A.
0.1
B.
1
C.
100
D.
10
คำถามก่อนหน้า
คำถามต่อไป
คำถามที่ 47/100
90:00
นาที
47
แรงดันไฟฟ้าของระบบไฟฟ้ากระแสสลับที่ใช้ตามบ้านในประเทศไทยมีค่าเท่ากับ
A.
220 กิโลวัตต์
B.
220 มิลลิวัตต์
C.
220 ไมโครวัตต์
D.
220 โวลต์
คำถามก่อนหน้า
คำถามต่อไป
คำถามที่ 48/100
90:00
นาที
48
เมื่อเส้นลวดตัวนำเคลื่อนที่ผ่านสนามแม่เหล็กจะเกิดอะไรขึ้นในเส้นลวดตัวนำ
A.
ความร้อน
B.
กระแสไฟฟ้า
C.
พลังงานนิวเคลียร์
D.
พลังงานกล
คำถามก่อนหน้า
คำถามต่อไป
คำถามที่ 49/100
90:00
นาที
49
แบตเตอรี่ในข้อใดต่อไปนี้ เป็นแบบทุติยภูมิ (Secondary Cell) ทั้งหมด
A.
แบตเตอรี่ชนิด สังกะสี-ถ่าน และชนิด ตะกั่ว-กรด
B.
แบตเตอรี่ชนิด อัลคาไลน์ และชนิด นิเกิล-แคดเมี่ยม
C.
แบตเตอรี่ชนิด ชนิดนิเกิล-แคดเมี่ยม และชนิด ตะกั่ว-กรด
D.
แบตเตอรี่ชนิด ตะกั่ว-กรด และชนิด อัลคาไลน์
คำถามก่อนหน้า
คำถามต่อไป
คำถามที่ 50/100
90:00
นาที
50
แบตเตอรี่ชนิดเดียวกันต่อขนานกันจะได้
A.
แรงดันเพิ่ม ความจุเพิ่ม
B.
แรงดันเท่าเดิม ความจุเพิ่ม
C.
แรงดันเท่าเดิม ความจุเท่าเดิม
D.
แรงดันเพิ่ม ความจุเท่าเดิม
คำถามก่อนหน้า
คำถามต่อไป
คำถามที่ 51/100
90:00
นาที
51
สัญลักษณ์ทางไฟฟ้าข้างล่างนี้หมายถึงอุปกรณ์ใด
A.
ตัวต้านทาน
B.
ตัวต้านทานชนิดปรับค่าได้
C.
ตัวเก็บประจุไฟฟ้า
D.
ตัวเก็บประจุไฟฟ้าชนิดปรับค่าได้
คำถามก่อนหน้า
คำถามต่อไป
คำถามที่ 52/100
90:00
นาที
52
ข้อใดต่อไปนี้เป็นกฎของโอห์ม (Ohm’s Law)
A.
E = I
2
R
B.
R = IE
C.
R = I/E
D.
I = E/R
คำถามก่อนหน้า
คำถามต่อไป
คำถามที่ 53/100
90:00
นาที
53
ข้อใดต่อไปนี้เป็นฉนวนไฟฟ้าทั้งหมด
A.
ทองแดง ไม้
B.
แก้ว น้ำบริสุทธิ์
C.
น้ำบริสุทธิ์ ตะกั่ว
D.
เหล็ก แก้ว
คำถามก่อนหน้า
คำถามต่อไป
คำถามที่ 54/100
90:00
นาที
54
จากรูปข้างล่างนี้ เป็นการต่อตัวต้านทานแบบ
A.
อนุกรม
B.
ขนาน
C.
ผสม
D.
ไม่มีคำตอบใดถูกต้อง
คำถามก่อนหน้า
คำถามต่อไป
คำถามที่ 55/100
90:00
นาที
55
สัญลักษณ์ทางไฟฟ้าข้างล่างนี้หมายถึงอุปกรณ์ใด
A.
แบตเตอรี่ (Battery)
B.
ตัวเก็บประจุไฟฟ้า (Capacitor)
C.
ตัวเก็บประจุไฟฟ้า (Capacitor) ชนิดมีขั้วบวก-ลบ
D.
ตัวต้านทาน (Resistor)
คำถามก่อนหน้า
คำถามต่อไป
คำถามที่ 56/100
90:00
นาที
56
ที่ความถี่เรโซแนนซ์ (Resonance) วงจร R,L,C ที่ต่อกันอย่างขนาน กระแสไฟฟ้าสลับในวงจรจะ
A.
ไหลมากที่สุดเมื่อเทียบกับความถี่อื่น
B.
ไหลน้อยที่สุดเมื่อเทียบกับความถี่อื่น
C.
หยุดไหล
D.
ไหลเปลี่ยนแปลงไม่คงที่
คำถามก่อนหน้า
คำถามต่อไป
คำถามที่ 57/100
90:00
นาที
57
เมื่อนำลำโพงซึ่งมีค่าอิมพีแดนซ์ขนาด 8 Ω 2 ตัว มาต่อขนานกัน อิมพีแดนซ์รวมจะมีค่าเท่ากับ
A.
16 Ω
B.
10 Ω
C.
8 Ω
D.
4 Ω
คำถามก่อนหน้า
คำถามต่อไป
คำถามที่ 58/100
90:00
นาที
58
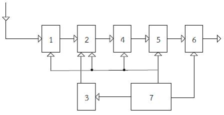
จากแผนผังอย่างง่ายของเครื่องรับวิทยุแบบ Superheterodyne ข้างล่างนี้ หมายเลข 6 เป็นภาคที่มีชื่อเรียกว่า
A.
ภาคเอเอฟแอมปลิไฟเออร์ (AF Amplifier)
B.
ภาคมิกเซอร์ (Mixer)
C.
ภาคโลคัล ออสซิลเลเตอร์ (Local Oscillator)
D.
ภาคดีเทคเตอร์ (Detector)
คำถามก่อนหน้า
คำถามต่อไป
คำถามที่ 59/100
90:00
นาที
59
ภาคโลคัลออสซิลเลเตอร์ (Local Oscillator) ของเครื่องรับวิทยุแบบซูเปอร์เฮเทอโรดายน์(Superheterodyne) ทำหน้าที่
A.
กำเนิดความถี่ขึ้นมาเพื่อไปผสมกับความถี่ที่รับเข้ามาที่ภาคมิกเซอร์ (Mixer)
B.
กำเนิดความถี่ขึ้นมาเพื่อไปผสมกับความถี่ที่รับเข้ามาภาคไอเอฟแอมปลิไฟเออร์ (IF Amplifier)
C.
กำเนิดขึ้นมาเพื่อชดเชยการเปลี่ยนแปลงทางความถี่ ทำให้การรับดีขึ้น
D.
ไม่มีคำตอบใดถูกต้อง
คำถามก่อนหน้า
คำถามต่อไป
คำถามที่ 60/100
90:00
นาที
60
เครื่องส่งวิทยุที่มีคลื่นความถี่อื่นปนออกไปขณะส่ง ซึ่งอาจทำให้เกิดการรบกวนความถี่อื่น การส่งคลื่นความถี่ที่ไม่พึงประสงค์ออกไปนี้ เรียกว่า
A.
ฟรีเควนซีดิสทอร์ชัน (Frequency Distortion)
B.
โพลาไรเซชัน (Polarization)
C.
สเปอริอัสอีมิสชัน (Spurious Emission)
D.
อันบาลานซ์ทรานส์มิสชัน (Unbalanced Transmission)
คำถามก่อนหน้า
คำถามต่อไป
คำถามที่ 61/100
90:00
นาที
61
คลื่นวิทยุประกอบด้วย
A.
สนามแม่เหล็ก
B.
สนามไฟฟ้า
C.
สนามแม่เหล็กและสนามไฟฟ้า
D.
สนามความต้านทาน
คำถามก่อนหน้า
คำถามต่อไป
คำถามที่ 62/100
90:00
นาที
62
สายอากาศล็อก-พิริออดิก (Log-Periodic) จัดเป็นสายอากาศประเภทใด
A.
สายอากาศแบบรอบตัว
B.
สายอากาศแบบมีทิศทาง
C.
สายอากาศในแบบรอบตัวที่มีรีเฟลกเตอร์ (Refector)
D.
ไม่มีคำตอบใดถูกต้อง
คำถามก่อนหน้า
คำถามต่อไป
คำถามที่ 63/100
90:00
นาที
63
อัตราส่วนระหว่างความแรงในการแพร่คลื่นของสายอากาศชนิดหนึ่งเมื่อเทียบกับความแรงในการแพร่คลื่นของสายอากาศมาตรฐาน เราเรียกว่า
A.
อิมพีแดนซ์ของสายอากาศ
B.
ค่าความสูญเสียของสายอากาศ
C.
เกนของสายอากาศ
D.
รีซิสแตนซ์ของสายอากาศ
คำถามก่อนหน้า
คำถามต่อไป
คำถามที่ 64/100
90:00
นาที
64
SWR เป็นค่าที่แสดงถึง
A.
ค่าของกระแส RF ที่มีอยู่ในสายนำสัญญาณ
B.
ค่าของแรงดัน RF ที่มีอยู่ในสายนำสัญญาณ
C.
ค่าอัตราส่วนระหว่างกระแสแรงดัน RF ที่มีอยู่ในสายนำสัญญาณ
D.
ค่าแสดงความสัมพันธ์ระหว่างกำลังของคลื่นวิทยุที่ออกไปจากสายอากาศส่ง กับกำลังคลื่นวิทยุ ที่สะท้อนกลับเข้ามา
คำถามก่อนหน้า
คำถามต่อไป
คำถามที่ 65/100
90:00
นาที
65
คลื่นวิทยุในย่านความถี่ LF หรือ MF ส่วนใหญ่จะมีการแผ่กระจายคลื่นแบบ
A.
คลื่นวิกฤต(CriticalWave)
B.
คลื่นดิน(Ground Wave)
C.
คลื่นฟ้า(Sky Wave)
D.
คลื่นในอากาศ(SpaceWave)
คำถามก่อนหน้า
คำถามต่อไป
คำถามที่ 66/100
90:00
นาที
66
การที่สายจ่ายกำลังไฟฟ้าที่ต่อกับแบตเตอรี่ร้อนจัดผิดปกติในขณะใช้งาน โดยทั่วไปเกิดจาก
A.
สายจ่ายกำลังไฟฟ้าต่ออย่างไม่เรียบร้อย เช่น หลวม
B.
การเกิดสนิมที่รอยต่อระหว่างสายจ่ายกำลังไฟฟ้ากับขั้วแบตเตอรี่
C.
สายจ่ายกำลังไฟฟ้าที่มีขนาดเล็กเกินไป
D.
ถูกทุกข้อ
คำถามก่อนหน้า
คำถามต่อไป
คำถามที่ 67/100
90:00
นาที
67
อุปกรณ์ที่ใช้สำหรับต่อแทนสายอากาศเมื่อไม่ต้องการให้มีการแพร่กระจายคลื่นขณะปรับแต่งเครื่องรับ-ส่งวิทยุ คือ
A.
ดัมมีโหลด (Dummy Load)
B.
โอห์มมิเตอร์ (Ohmmeter)
C.
อาร์เอฟโวลต์มิเตอร์ (RF Voltmeter)
D.
ซิกแนลมิเตอร์ (Signal Meter)
คำถามก่อนหน้า
คำถามต่อไป
คำถามที่ 68/100
90:00
นาที
68
การจ่ายแรงดันไฟฟ้ากระแสตรงให้กับเครื่องรับ-ส่งวิทยุดังรูป จะเกิดผลอย่างไร
A.
เครื่องรับ-ส่งวิทยุทำงานปกติ
B.
เครื่องรับ-ส่งวิทยุไม่ทำงาน
C.
เครื่องรับ-ส่งวิทยุเสียหายเฉพาะภาคส่ง
D.
เครื่องรับ-ส่งวิทยุเสียหายเฉพาะภาครับ
คำถามก่อนหน้า
คำถามต่อไป
คำถามที่ 69/100
90:00
นาที
69
ในการเลือกซื้อเครื่องจ่ายแรงดันไฟฟ้ากระแสตรงเพื่อใช้กับเครื่องรับ-ส่งวิทยุจะต้องทราบคุณสมบัติทางไฟฟ้าอย่างไรบ้าง
A.
ขนาดของแรงดันและกระแสไฟฟ้าที่จ่ายออกมาเพียงพอหรือไม่
B.
มีวงจรรักษาขนาดของแรงดันไฟฟ้าที่จ่ายออกมาให้คงที่หรือไม่
C.
มีวงจรป้องกันคลื่นวิทยุรบกวนหรือไม่
D.
ถูกทุกข้อ
คำถามก่อนหน้า
คำถามต่อไป
คำถามที่ 70/100
90:00
นาที
70
เมื่อตรวจพบว่าเกิดการหลวมคลอนที่ขั้วต่อสายอากาศของเครื่องรับ-ส่งวิทยุแบบมือถือ ควรปฏิบัติอย่างไร
A.
หยุดการใช้งาน และแก้ไขขั้วต่อสายอากาศให้เรียบร้อย
B.
ใช้งานต่อไปโดยไม่ต้องทำอะไร
C.
ดัดแปลงเครื่องให้เป็นแบบติดตั้งประจำที่
D.
ไม่มีคำตอบข้อใดถูกต้อง
คำถามก่อนหน้า
คำถามต่อไป
คำถามที่ 71/100
90:00
นาที
71
การใช้มัลติมิเตอร์ (Multimeter) วัดแรงดันไฟฟ้าในจุดที่ไม่ทราบค่าต้องปรับซีเล็กเตอร์สวิตซ์ (Selector Switch) ของโวลต์มิเตอร์ (Voltmeter) อย่างไร
A.
ต่ำสุด
B.
สูงสุด
C.
ปานกลาง
D.
ตามความพอใจ
คำถามก่อนหน้า
คำถามต่อไป
คำถามที่ 72/100
90:00
นาที
72
เมื่อต้องการทดสอบหรือปรับแต่งเครื่องรับ-ส่งวิทยุ ต้องใช้เครื่องมือชนิดใด
A.
เอเอฟ ซิกแนลเจนเนอเรเตอร์ (AF Signal Generator)
B.
อาร์เอฟ ซิกแนลเจนเนอเรเตอร์ (RF Signal Generator)
C.
ออสซิลโลสโคป (Oscilloscope)
D.
ถูกทุกข้อ
คำถามก่อนหน้า
คำถามต่อไป
คำถามที่ 73/100
90:00
นาที
73
เครื่องมือที่แสดงค่าการแพร่แปลกปลอม (Spurious Emission) และการแพร่ฮาร์มอนิก (Harmonic Emission) คือ
A.
เครื่องวิเคราะห์สเปคตรัม (Spectrum Analyzer)
B.
มิเตอร์วัดกําลังสัญญาณวิทยุ (RF Power Meter)
C.
ออสซิลโลสโคป (Oscilloscope)
D.
เอสดับบลิวอาร์มิเตอร์ (SWR Meter)
คำถามก่อนหน้า
คำถามต่อไป
คำถามที่ 74/100
90:00
นาที
74
คำว่า การใช้พลังงานไฟฟ้า (Power Consumption) หมายความว่าอะไร
A.
กำลังความเข้มของคลื่นวิทยุ
B.
อัตราการขยายของเครื่องส่งวิทยุ
C.
ค่ากำลังไฟฟ้าที่ทำให้เครื่องรับ-ส่งวิทยุทำงานได้
D.
อัตราการขยายของเครื่องรับวิทยุ
คำถามก่อนหน้า
คำถามต่อไป
คำถามที่ 75/100
90:00
นาที
75
ถ้านำมิเตอร์วัดกําลังสัญญาณวิทยุ (RF Power Meter) มาต่อระหว่างเครื่องรับ-ส่งวิทยุกับดัมมีโหลด (Dummy Load) จะวัดได้ค่า
A.
กําลังสัญญาณวิทยุ (RF Power Output Meter) ของเครื่องรับ-ส่งวิทยุ
B.
ความถี่ (Frequency) ของเครื่องรับ-ส่งวิทยุ
C.
กำลังสัญญาณเสียง (AF Power Output Meter) ของเครื่องรับ-ส่งวิทยุ
D.
ความถี่กลาง (IF) ของเครื่องรับ-ส่งวิทยุ
คำถามก่อนหน้า
คำถามต่อไป
คำถามที่ 76/100
90:00
นาที
76
ค่า SWR ต่อไปนี้ ค่าใดดีที่สุด
A.
5:1
B.
1.5 : 1
C.
3:1
D.
4:1
คำถามก่อนหน้า
คำถามต่อไป
คำถามที่ 77/100
90:00
นาที
77
ถ้าสายอากาศภาคส่งวางในแนวตั้ง สายอากาศภาครับควรวางในแนวใดจึงสามารถรับส่งได้ดีที่สุด
A.
แนวเฉียงทำมุม 45 องศา
B.
แนวนอน
C.
แนวตั้ง
D.
แนวขนานกับพื้นโลก
คำถามก่อนหน้า
คำถามต่อไป
คำถามที่ 78/100
90:00
นาที
78
วงจรเรโซแนนซ์ ที่ใช้ในเครื่องรับ-ส่งวิทยุทั่ว ๆ ไปจะประกอบไปด้วยอุปกรณ์อะไร
A.
รีซิสเตอร์ (Resistor)
B.
คาปาซิเตอร์ (Capacitor) กับ รีซิสเตอร์ (Resistor)
C.
อินดักเตอร์ (Inductor)
D.
อินดักเตอร์ (Inductor) กับ คาปาซิเตอร์ (Capacitor)
คำถามก่อนหน้า
คำถามต่อไป
คำถามที่ 79/100
90:00
นาที
79
เมื่อต้องการทราบว่าวงจรเรโซแนนซ์นั้นมีความถี่เรโซแนนซ์เท่าใด ต้องใช้เครื่องมืออะไร
A.
ดิปมิเตอร์ (DIP Meter)
B.
เครื่องนับความถี่ (Frequency Counter)
C.
โวลต์มิเตอร์ (Voltmeter)
D.
วีเอสดับบลิวอาร์ มิเตอร์ (VSWR Meter)
คำถามก่อนหน้า
คำถามต่อไป
คำถามที่ 80/100
90:00
นาที
80
ข้อความใดต่อไปนี้เป็นหลักปฏิบัติในการใช้งานเครื่องรับ-ส่งวิทยุแบบมือถือ
A.
ส่งออกอากาศด้วยกำลังส่งต่ำตลอดเวลา
B.
ส่งออกอากาศด้วยกำลังส่งสูงตลอดเวลา
C.
เมื่อติดต่อได้แล้วให้ปรับลดกำลังส่งลงเหลือเท่าที่จำเป็น
D.
ถูกทุกข้อ
คำถามก่อนหน้า
คำถามต่อไป
คำถามที่ 81/100
90:00
นาที
81
การใช้เครื่องรับ-ส่งวิทยุโดยขาดการดูแลรักษา อาจทำให้เกิดการชำรุดในลักษณะใดได้บ้าง
A.
รับได้ ส่งไม่ได้
B.
ส่งได้ รับไม่ได้
C.
ความไวและกำลังส่งลดน้อยลงกว่าเดิม
D.
ถูกทุกข้อ
คำถามก่อนหน้า
คำถามต่อไป
คำถามที่ 82/100
90:00
นาที
82
การรบกวนของคลื่นวิทยุมีสาเหตุมาจากอะไร
A.
ใช้ช่องสัญญาณเดียวกัน
B.
ช่องสัญญาณข้างเคียงความถี่คลาดเคลื่อน
C.
ความบกพร่องของภาครับของเครื่องรับ-ส่งวิทยุ
D.
ถูกทุกข้อ
คำถามก่อนหน้า
คำถามต่อไป
คำถามที่ 83/100
90:00
นาที
83
เหตุใดจึงต้องกำจัดคลื่นฮาร์มอนิก (Harmonic) และคลื่นแปลกปลอม (Spurious)
A.
เนื่องจากเป็นคลื่นที่ทำให้เกิดการสูญเสียในสายนำสัญญาณ
B.
เนื่องจากเป็นคลื่นที่เป็นอันตรายต่อระบบอากาศ
C.
เนื่องจากเป็นคลื่นที่อาจแพร่ออกไปรบกวนสถานีอื่น
D.
เนื่องจากเป็นคลื่นที่เป็นอันตรายต่อบุคคลผู้ใช้งาน
คำถามก่อนหน้า
คำถามต่อไป
คำถามที่ 84/100
90:00
นาที
84
อิเล็กโตรแมกเนติก อินเตอร์เฟียเรนซ์ (Electromagnetic Interference: EMI) คือ
A.
การรบกวนต่อคลื่นวิทยุอันเกิดจากเครื่องใช้ไฟฟ้า
B.
การรบกวนต่อคลื่นวิทยุอันเกิดจากระบบจุดระเบิดของเครื่องยนต์
C.
การรบกวนต่อคลื่นวิทยุอันเกิดจากผู้จงใจส่งคลื่นรบกวน
D.
ถูกทั้งข้อ ก. และข้อ ข.
คำถามก่อนหน้า
คำถามต่อไป
คำถามที่ 85/100
90:00
นาที
85
การรบกวนคลื่นความถี่วิทยุ มีสาเหตุจากอะไรบ้าง
A.
มนุษย์ทำขึ้น
B.
ปรากฏการณ์ธรรมชาติ
C.
ถูกทั้งข้อ ก. และข้อ ข.
D.
ไม่มีคำตอบข้อใดถูกต้อง
คำถามก่อนหน้า
คำถามต่อไป
คำถามที่ 86/100
90:00
นาที
86
พฤติกรรมเชิงจริยธรรม หมายถึงข้อใด
A.
ความรู้สึกต่อพฤติกรรมต่าง ๆ ในทางที่ชอบหรือไม่ชอบ
B.
เบื้องหลังการกระทำของบุคคลใช้เป็นเกณฑ์ในการเลือกกระทำ
C.
การแสดงพฤติกรรมที่พึงประสงค์ของสังคมและปฏิเสธการแสดงพฤติกรรมที่ไม่พึงประสงค์ของสังคม
D.
ไม่มีข้อถูก
คำถามก่อนหน้า
คำถามต่อไป
คำถามที่ 87/100
90:00
นาที
87
พระบรมราโชวาทของพระบาทสมเด็จพระเจ้าอยู่หัว รัชกาลที่ 9 ทรงมีพระราชดำรัส “การรู้จักข่มใจ” หมายถึงข้อใด
A.
การรู้จักฝึกใจตนเอง
B.
การประพฤติปฏิบัติต่อสิ่งที่เป็นประโยชน์
C.
ความจริงใจต่อตนเอง
D.
รู้จักเสียสละประโยชน์ส่วนตัวเพื่อส่วนรวม
คำถามก่อนหน้า
คำถามต่อไป
คำถามที่ 88/100
90:00
นาที
88
ข้อใดต่อไปนี้ไม่ใช่ “พรหมวิหาร 4”
A.
เมตตา คือ ความปรารถนาดีต่อผู้อื่น
B.
กรุณา คือ ความปรารถนาช่วยผู้อื่นให้พ้นทุกข์
C.
มุทิตา คือ ความยินดีเมื่อผู้อื่นได้ดี
D.
ทาน คือ การให้ เสียสละ แบ่งปัน
คำถามก่อนหน้า
คำถามต่อไป
คำถามที่ 89/100
90:00
นาที
89
พนักงานวิทยุสมัครเล่นที่ยึดหลักธรรมะที่ว่า “ปิยวาจา” หมายถึงบุคคลใด
A.
บุคคลที่พูดจาสุภาพ อ่อนหวาน และเหมาะสมกับกาลเทศะ
B.
บุคคลที่ชอบแบ่งปัน เสียสละและเผื่อแผ่ผู้อื่น
C.
บุคคลที่ชอบอิสระ มีนิสัยโอบอ้อมอารี
D.
บุคคลที่กระทำตนให้เป็นประโยชน์ต่อตนเองและผู้อื่น
คำถามก่อนหน้า
คำถามต่อไป
คำถามที่ 90/100
90:00
นาที
90
สิ่งใดสามารถยับยั้งความโกรธได้
A.
เมตตา กรุณา
B.
มุทิตา อุเบกขา
C.
สติ สัมปชัญญะ
D.
ฉันทะ วิริยะ
คำถามก่อนหน้า
คำถามต่อไป
คำถามที่ 91/100
90:00
นาที
91
บุคคลใดต่อไปนี้ ปฏิบัติตนเหมาะสมกับการเป็นพนักงานวิทยุสมัครเล่น
A.
ชายใหญ่ รับ-ส่งข่าวสารอันมีเนื้อหาละเมิดต่อกฎหมายบ้านเมือง
B.
ชายกลาง ติดต่อสื่อสารกับสถานีวิทยุคมนาคมที่ไม่ได้รับอนุญาตเป็นประจำ
C.
หญิงใหญ่ ใช้ช่องความถี่สำหรับโฆษณาเพื่อประชาสัมพันธ์ให้กับร้านคาราโอเกะของตนเอง
D.
ไม่มีข้อใดถูก
คำถามก่อนหน้า
คำถามต่อไป
คำถามที่ 92/100
90:00
นาที
92
ข้อใดไม่ใช่คุณธรรมและจริยธรรมของพนักงานวิทยุสมัครเล่น
A.
รู้รักสามัคคีและเป็นมิตรกับพนักงานวิทยุสมัครเล่นทุกคน
B.
มีความเสียสละเพื่อประโยชน์ของส่วนรวม
C.
เปิดเผยข้อมูลความลับที่ไม่ควรเปิดเผย
D.
ดำรงตนเป็นที่พึ่งของสุจริตชน
คำถามก่อนหน้า
คำถามต่อไป
คำถามที่ 93/100
90:00
นาที
93
ข้อใดไม่ใช่คุณธรรมและจริยธรรมของพนักงานวิทยุสมัครเล่น
A.
ไม่เก็บรักษาข้อมูลความลับที่ไม่ควรเปิดเผย
B.
รู้รักสามัคคีและเป็นมิตรกับพนักงานวิทยุสมัครเล่นทุกคน
C.
มีความรับผิดชอบในการปฏิบัติหน้าที่พนักงานวิทยุสมัครเล่น
D.
ปฏิบัติตามระเบียบ กฎหมายที่เกี่ยวข้องกับกิจการวิทยุสมัครเล่น
คำถามก่อนหน้า
คำถามต่อไป
คำถามที่ 94/100
90:00
นาที
94
ข้อใดคือคุณสมบัติที่ดีของนักวิทยุสมัครเล่นตามคำกล่าวของนายพอล เอ็ม ซีกัล (Pual M. Segal) นักวิทยุสมัครเล่นชาวอเมริกัน สัญญาณเรียกขาน W9EEA
A.
นักวิทยุสมัครเล่นต้องคำนึงถึงผู้อื่น โดยไม่ตั้งใจใช้ความถี่ไปลดทอนความพึงพอใจของสถานีอื่น
B.
นักวิทยุสมัครเล่นต้องเป็นผู้ที่มีความจริงใจ ให้การส่งเสริมและช่วยเหลือเพื่อนนักวิทยุสมัครเล่น
C.
นักวิทยุสมัครเล่นต้องเป็นผู้รักความก้าวหน้า ติดตามเทคโนโลยีอยู่เสมอ และปรับปรุงสถานีวิทยุให้เกิดประสิทธิภาพสูงสุดและพร้อมใช้งานทันที
D.
ถูกทุกข้อ
คำถามก่อนหน้า
คำถามต่อไป
คำถามที่ 95/100
90:00
นาที
95
ข้อใดคือคุณสมบัติที่ดีของนักวิทยุสมัครเล่นตามคำกล่าวของนายพอล เอ็ม ซีกัล (Pual M. Segal) นักวิทยุสมัครเล่นชาวอเมริกัน สัญญาณเรียกขาน W9EEA
A.
นักวิทยุสมัครเล่นเป็นผู้ที่มีอัธยาศัย ความเป็นมิตร ให้ความร่วมมือ และคำนึงถึงประโยชน์ของผู้อื่นเสมอเพื่อความเป็นนักวิทยุสมัครเล่นที่ดีต่อกัน
B.
นักวิทยุสมัครเล่นต้องเป็นผู้ที่มีความจริงใจ ให้การส่งเสริมและช่วยเหลือเพื่อนนักวิทยุสมัครเล่น
C.
นักวิทยุสมัครเล่นต้องเป็นผู้รักความก้าวหน้า ติดตามเทคโนโลยีอยู่เสมอ และปรับปรุงสถานีวิทยุให้เกิดประสิทธิภาพสูงสุดและพร้อมใช้งานทันที
D.
ถูกทุกข้อ
คำถามก่อนหน้า
คำถามต่อไป
คำถามที่ 96/100
90:00
นาที
96
ข้อใดต่อไปนี้ เป็นการกระทำที่ถูกต้อง
A.
นายเป้ ใช้ถ้อยคำหยาบคายหรือเป็นการดูหมิ่นในการติดต่อสื่อสารอยู่เป็นประจำ
B.
นายปังปอนด์ แนะนำให้นายปิ่นไปซื้อเครื่องวิทยุคมนาคมโดยไม่ต้องขอรับใบอนุญาตให้ใช้เครื่องวิทยุคมนาคม
C.
นางสาวมิ้นต์ ใฝ่หาความรู้เทคโนโลยีใหม่ ๆ เพื่อพัฒนาตนเองและทำหน้าที่พนักงานวิทยุสมัครเล่นให้มีประสิทธิภาพยิ่งขึ้น
D.
นางสาวไฉไล เป็นนักวิทยุสมัครเล่นได้ดัดแปลงเครื่องวิทยุคมนาคมกิจการวิทยุสมัครเล่นเพื่อให้สามารถใช้ความถี่ของมูลนิธิสาธารณกุศลต่าง ๆ
คำถามก่อนหน้า
คำถามต่อไป
คำถามที่ 97/100
90:00
นาที
97
ข้อใดต่อไปนี้ เป็นการกระทำที่ถูกต้อง
A.
ยินยอมให้ผู้อื่นที่ไม่มีใบอนุญาตใช้สถานีวิทยุคมนาคมกระทำผิดกฎหมายวิทยุคมนาคม
B.
ไม่รับจ้างวานเพื่อรับส่งข่าวสารไปยังบุคคลที่สาม
C.
รับส่งข่าวสารอันมีเนื้อหาละเมิดต่อกฎหมาย
D.
ติดต่อกับสถานีวิทยุคมนาคมที่ไม่ได้รับอนุญาต
คำถามก่อนหน้า
คำถามต่อไป
คำถามที่ 98/100
90:00
นาที
98
ข้อใดต่อไปนี้ เป็นการกระทำที่ถูกต้องภายหลังจากทราบว่าการปฏิบัติตนในการออกอากาศของเราไม่ถูกต้อง
A.
สอบถามข้อมูลจากผู้ที่มีความรู้และฝึกฝนตนเองอย่างสม่ำเสมอ
B.
ค้นหาข้อมูลเองไม่ต้องสอบถามใคร เพราะกลัวคนอื่นจะรู้ว่าเป็นมือใหม่
C.
หยุดออกอากาศระยะหนึ่ง เพื่อให้คนอื่น ๆ ลืมการปฏิบัติของตนที่ผ่านมา
D.
เปลี่ยนจากการออกอากาศเป็นการฟังอย่างเดียว
คำถามก่อนหน้า
คำถามต่อไป
คำถามที่ 99/100
90:00
นาที
99
ข้อใดเป็นเรื่องที่เหมาะสำหรับการนำมาเป็นบทสนทนาในการออกอากาศ
A.
การนำเสนอขายสินค้าที่เป็นธุรกิจของตน
B.
เทคนิคการติดต่อสื่อสารในโหมดต่าง ๆ
C.
ศาสนาและการเมือง
D.
เรื่องขำขันใต้สะดือ
คำถามก่อนหน้า
คำถามต่อไป
คำถามที่ 100/100
90:00
นาที
100
คำตอบในข้อใดเหมาะสมกับคำว่า “นักวิทยุสมัครเล่นที่ดี”
A.
เป็นพนักงานวิทยุสมัครเล่นมานาน 20 ปีแล้ว ไม่จำเป็นต้องแจ้งสัญญาณเรียกขานเพราะทุกคนจำเสียงได้
B.
คิดค้นและประดิษฐ์สายอากาศเป็นประจำเพื่อนำมาเสนอขายให้เพื่อนสมาชิกในการออกอากาศ
C.
ปฏิบัติตนตามกฎระเบียบและเป็นแบบอย่างที่ดีให้กับนักวิทยุสมัครเล่นคนอื่น ๆ ในการออกอากาศ และคอยแนะนำการใช้คลื่นความถี่ให้กับผู้ที่สนใจ
D.
ให้คำปรึกษากับเพื่อนสมาชิกในเรื่องการติดต่อสื่อสารในโหมดต่าง ๆ อย่างสม่ำเสมอ แต่ตนเองลืมไปดำเนินการขอรับใบอนุญาตพนักงานวิทยุสมัครเล่นฉบับใหม่ ภายหลังจากฉบับเดิมหมดอายุ
คำถามก่อนหน้า
คุณยังตอบคำถามไม่ครบ :
100
ข้อ จาก 100 ข้อ
(คลิกที่หมายเลขข้อที่ต้องการ เพื่อตอบคำถาม)
เลือก
1
2
3
4
5
6
7
8
9
10
11
12
13
14
15
16
17
18
19
20
21
22
23
24
25
26
27
28
29
30
31
32
33
34
35
36
37
38
39
40
41
42
43
44
45
46
47
48
49
50
51
52
53
54
55
56
57
58
59
60
61
62
63
64
65
66
67
68
69
70
71
72
73
74
75
76
77
78
79
80
81
82
83
84
85
86
87
88
89
90
91
92
93
94
95
96
97
98
99
100
เสร็จสิ้น